🇳🇴 🇬🇧 🇩🇪 🇨🇿 🇫🇮

Meteor, poloha: Evenskjer 2024-01-04 14:53:23 UTC

Soubor KML  |  InteraktivnĂ­ mapa

Mapa zobrazuje dráhy meteoru. Světlejší čáry ukazují směry od pozorovacích stanic při objevení se meteoru a tmavší čáry, kde byl naposledy viděn. Modrá šipka značí viditelnou dráhu meteoru.

static map
height profile
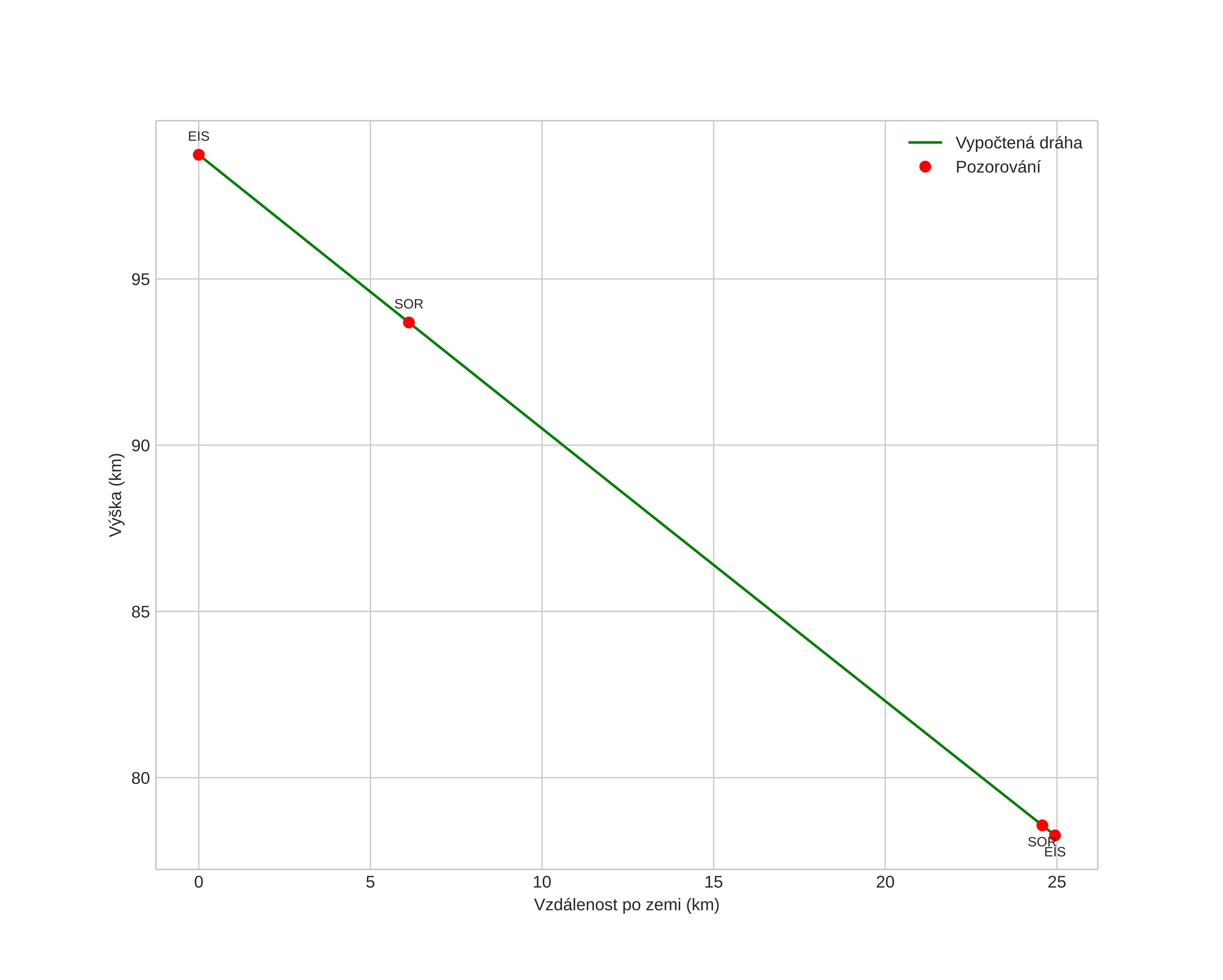
Atmosférická dráha meteoru:
Počáteční výška: 98,7 km
Konečná výška: 78,3 km
Počáteční poloha: 68,748N 16,249E
Konečná poloha: 68,591N 16,691E
Směr: 134,1°
Sklon: 39,3°
VstupnĂ­ rychlost: 43,9 km/s
Rektascenze radiantu: 15:06 (226,6°)
Deklinace radiantu: 50,9°
MeteorickĂ˝ roj: Kvadrantidy
Elementy dráhy meteoroidu:
Vzdálenost v periheliu: 0,983 AU
Excentricita: 0,746
Sklon dráhy: 73,6°
Délka vzestupného uzlu: 283,4°
Argument perihelia: 178,7°
Střední anomálie: 0,1°
Epocha: 2024 JAN 04 14:53:23
orbit plot

NeinteraktivnĂ­ graf | InteraktivnĂ­ graf

position vs time
speed and acceleration