🇳🇴 🇬🇧 🇩🇪 🇨🇿 🇫🇮

Meteor Evenskjerin yllä 2024-01-04 14:53:23 UTC

KML-tiedosto  |  Interaktiivinen kartta

Kartta näyttää meteorin suuntahavainnot. Vaaleammat viivat näyttävät suunnat havaintoasemilta meteorin ilmestyessä, ja tummemmat viivat näyttävät, missä se viimeksi nähtiin. Sininen nuoli näyttää meteorin näkyvän lennon.

static map
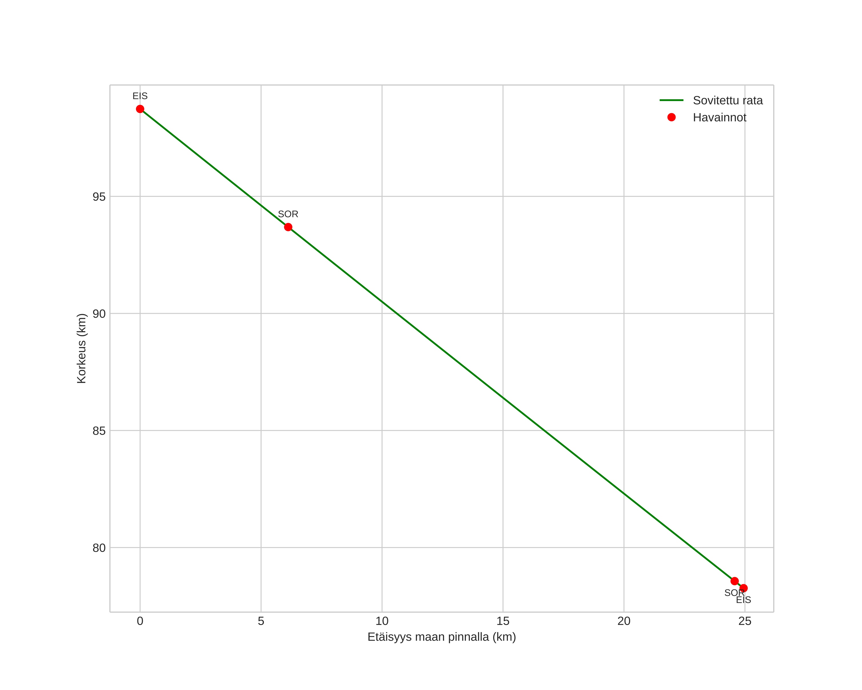
height profile
Meteorin ilmakehärata:
Alkukorkeus: 98,7 km
Loppukorkeus: 78,3 km
Alkupiste: 68,748N 16,249E
Loppupiste: 68,591N 16,691E
Suunta: 134,1°
Kallistuskulma: 39,3°
Tulonopeus: 43,9 km/s
Radiantin R,A,: 15:06 (226,6°)
Radiantin Dekl,: 50,9°
Meteoriparvi: Kvadrantidit
Meteoroidin rataelementit:
Perihelietäisyys: 0,983 AU
Eksentrisyys: 0,746
Inklinaatio: 73,6°
Nousevan solmun pituus: 283,4°
Perihelin argumentti: 178,7°
Keskianomalia: 0,1°
Epookki: 2024 JAN 04 14:53:23
orbit plot

Ei-interaktiivinen kuvaaja | Interaktiivinen kuvaaja

position vs time
speed and acceleration