🇳🇴 🇬🇧 🇩🇪 🇨🇿 🇫🇮

Meteor, poloha: Tromsø 2024-01-04 15:00:52 UTC

Soubor KML  |  InteraktivnĂ­ mapa

Mapa zobrazuje dráhy meteoru. Světlejší čáry ukazují směry od pozorovacích stanic při objevení se meteoru a tmavší čáry, kde byl naposledy viděn. Modrá šipka značí viditelnou dráhu meteoru.

static map
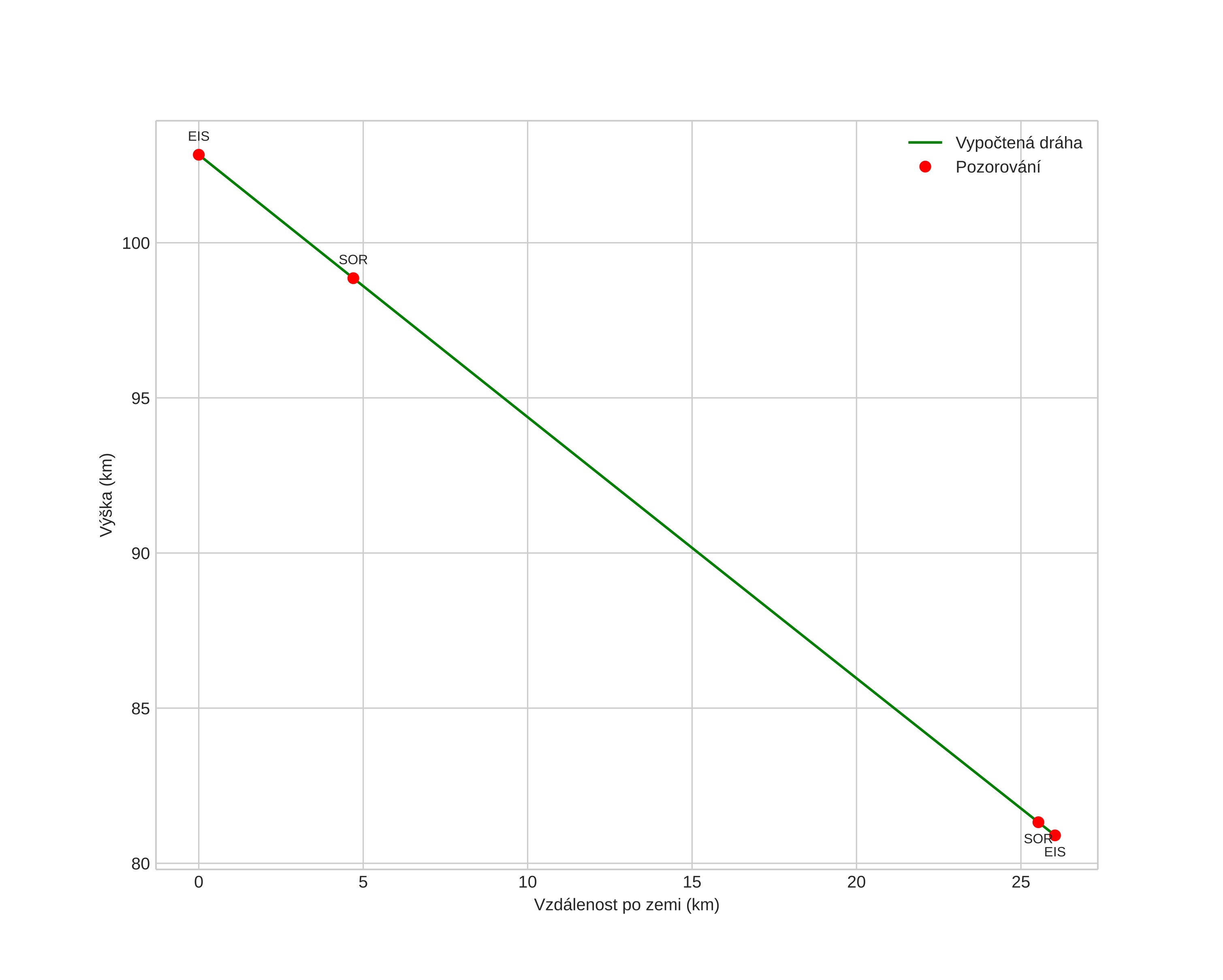
height profile
Atmosférická dráha meteoru:
Počáteční výška: 102,6 km
Konečná výška: 80,9 km
Počáteční poloha: 69,643N 18,662E
Konečná poloha: 69,484N 19,149E
Směr: 133,0°
Sklon: 39,9°
VstupnĂ­ rychlost: 42,8 km/s
Rektascenze radiantu: 15:26 (231,6°)
Deklinace radiantu: 50,6°
MeteorickĂ˝ roj: Kvadrantidy
Elementy dráhy meteoroidu:
Vzdálenost v periheliu: 0,980 AU
Excentricita: 0,757
Sklon dráhy: 70,9°
Délka vzestupného uzlu: 283,4°
Argument perihelia: 172,6°
Střední anomálie: 0,7°
Epocha: 2024 JAN 04 15:00:52
orbit plot

NeinteraktivnĂ­ graf | InteraktivnĂ­ graf

position vs time
speed and acceleration