🇳🇴 🇬🇧 🇩🇪 🇨🇿 🇫🇮

Meteor Tromsøin yllä 2024-01-04 15:00:52 UTC

KML-tiedosto  |  Interaktiivinen kartta

Kartta näyttää meteorin suuntahavainnot. Vaaleammat viivat näyttävät suunnat havaintoasemilta meteorin ilmestyessä, ja tummemmat viivat näyttävät, missä se viimeksi nähtiin. Sininen nuoli näyttää meteorin näkyvän lennon.

static map
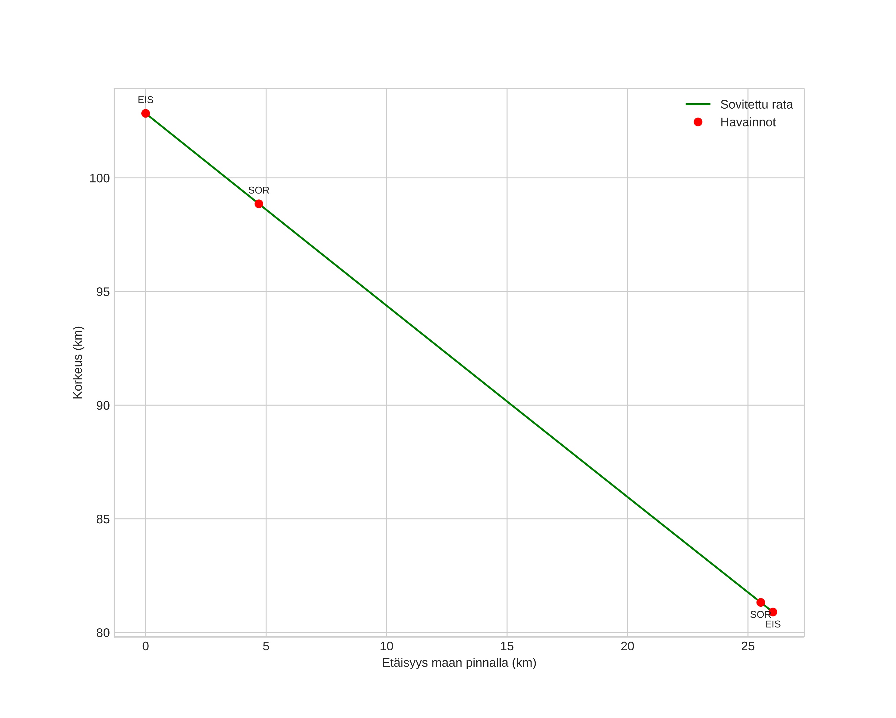
height profile
Meteorin ilmakehärata:
Alkukorkeus: 102,6 km
Loppukorkeus: 80,9 km
Alkupiste: 69,643N 18,662E
Loppupiste: 69,484N 19,149E
Suunta: 133,0°
Kallistuskulma: 39,9°
Tulonopeus: 42,8 km/s
Radiantin R,A,: 15:26 (231,6°)
Radiantin Dekl,: 50,6°
Meteoriparvi: Kvadrantidit
Meteoroidin rataelementit:
Perihelietäisyys: 0,980 AU
Eksentrisyys: 0,757
Inklinaatio: 70,9°
Nousevan solmun pituus: 283,4°
Perihelin argumentti: 172,6°
Keskianomalia: 0,7°
Epookki: 2024 JAN 04 15:00:52
orbit plot

Ei-interaktiivinen kuvaaja | Interaktiivinen kuvaaja

position vs time
speed and acceleration