🇳🇴 🇬🇧 🇩🇪 🇨🇿 🇫🇮

Meteor, poloha: Sjøvegan 2024-01-04 16:08:53 UTC

Soubor KML  |  InteraktivnĂ­ mapa

Mapa zobrazuje dráhy meteoru. Světlejší čáry ukazují směry od pozorovacích stanic při objevení se meteoru a tmavší čáry, kde byl naposledy viděn. Modrá šipka značí viditelnou dráhu meteoru.

static map
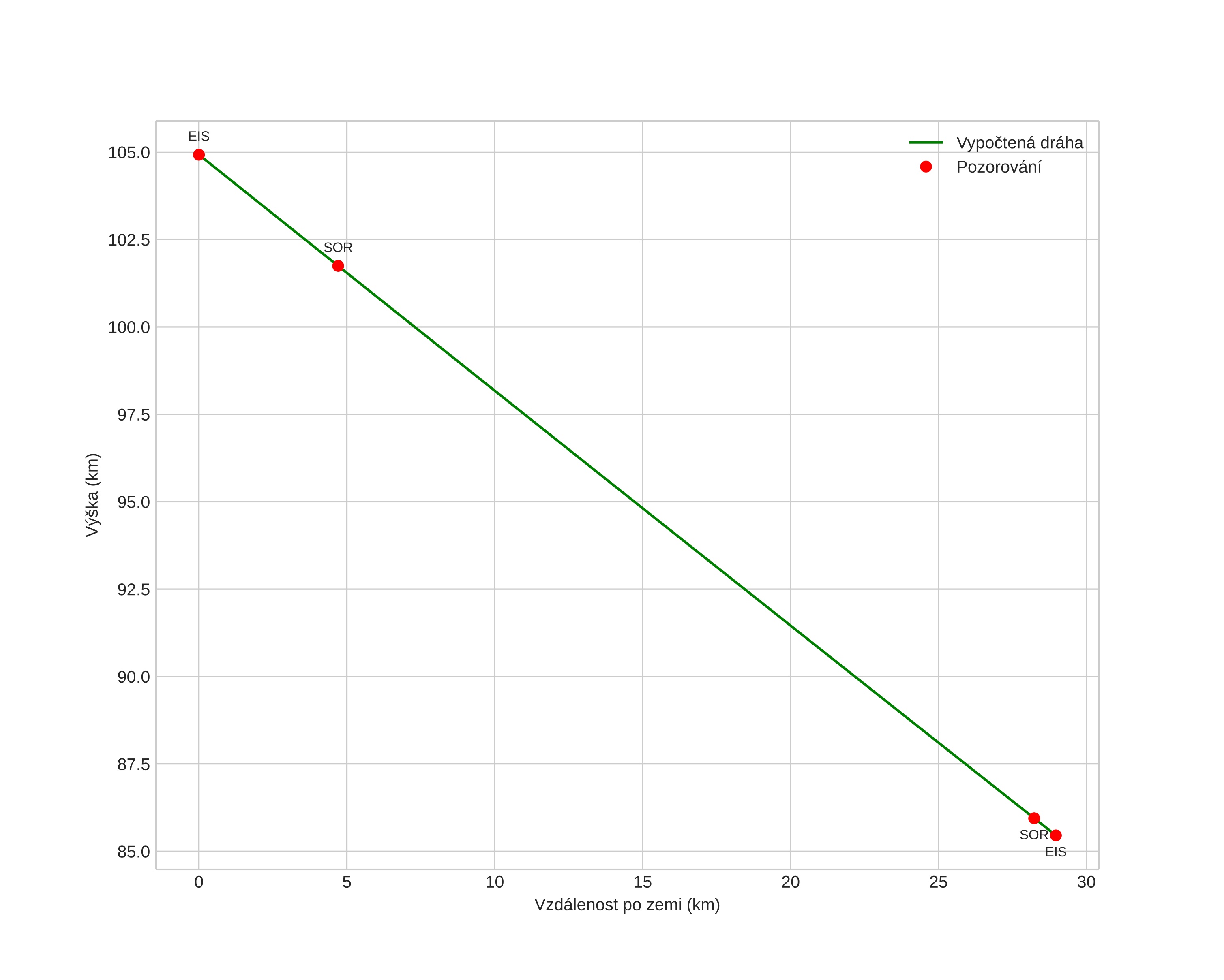
height profile
Atmosférická dráha meteoru:
Počáteční výška: 101,5 km
Konečná výška: 85,2 km
Počáteční poloha: 69,096N 17,434E
Konečná poloha: 68,920N 17,774E
Směr: 145,2°
Sklon: 34,4°
VstupnĂ­ rychlost: 44,5 km/s
Rektascenze radiantu: 15:22 (230,5°)
Deklinace radiantu: 49,3°
MeteorickĂ˝ roj: Kvadrantidy
Elementy dráhy meteoroidu:
Vzdálenost v periheliu: 0,979 AU
Excentricita: 0,809
Sklon dráhy: 73,7°
Délka vzestupného uzlu: 283,5°
Argument perihelia: 171,8°
Střední anomálie: 0,5°
Epocha: 2024 JAN 04 16:08:53
orbit plot

NeinteraktivnĂ­ graf | InteraktivnĂ­ graf

position vs time
speed and acceleration