🇳🇴 🇬🇧 🇩🇪 🇨🇿 🇫🇮

Meteor Sjøveganin yllä 2024-01-04 16:08:53 UTC

KML-tiedosto  |  Interaktiivinen kartta

Kartta näyttää meteorin suuntahavainnot. Vaaleammat viivat näyttävät suunnat havaintoasemilta meteorin ilmestyessä, ja tummemmat viivat näyttävät, missä se viimeksi nähtiin. Sininen nuoli näyttää meteorin näkyvän lennon.

static map
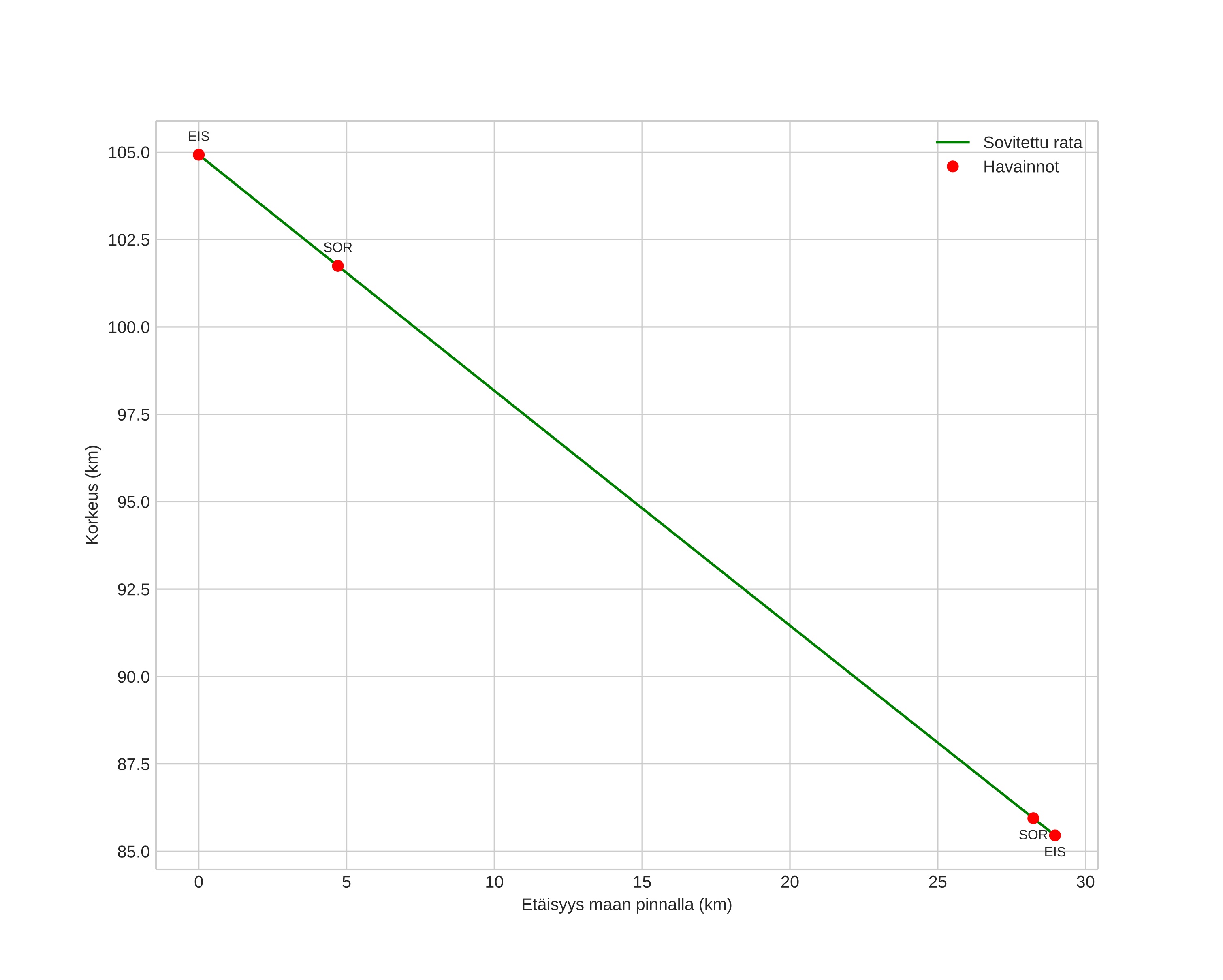
height profile
Meteorin ilmakehärata:
Alkukorkeus: 101,5 km
Loppukorkeus: 85,2 km
Alkupiste: 69,096N 17,434E
Loppupiste: 68,920N 17,774E
Suunta: 145,2°
Kallistuskulma: 34,4°
Tulonopeus: 44,5 km/s
Radiantin R,A,: 15:22 (230,5°)
Radiantin Dekl,: 49,3°
Meteoriparvi: Kvadrantidit
Meteoroidin rataelementit:
Perihelietäisyys: 0,979 AU
Eksentrisyys: 0,809
Inklinaatio: 73,7°
Nousevan solmun pituus: 283,5°
Perihelin argumentti: 171,8°
Keskianomalia: 0,5°
Epookki: 2024 JAN 04 16:08:53
orbit plot

Ei-interaktiivinen kuvaaja | Interaktiivinen kuvaaja

position vs time
speed and acceleration