🇳🇴 🇬🇧 🇩🇪 🇨🇿 🇫🇮

Meteor, poloha: Karlshus 2024-01-04 16:49:10 UTC

Soubor KML  |  InteraktivnĂ­ mapa

Mapa zobrazuje dráhy meteoru. Světlejší čáry ukazují směry od pozorovacích stanic při objevení se meteoru a tmavší čáry, kde byl naposledy viděn. Modrá šipka značí viditelnou dráhu meteoru.

static map
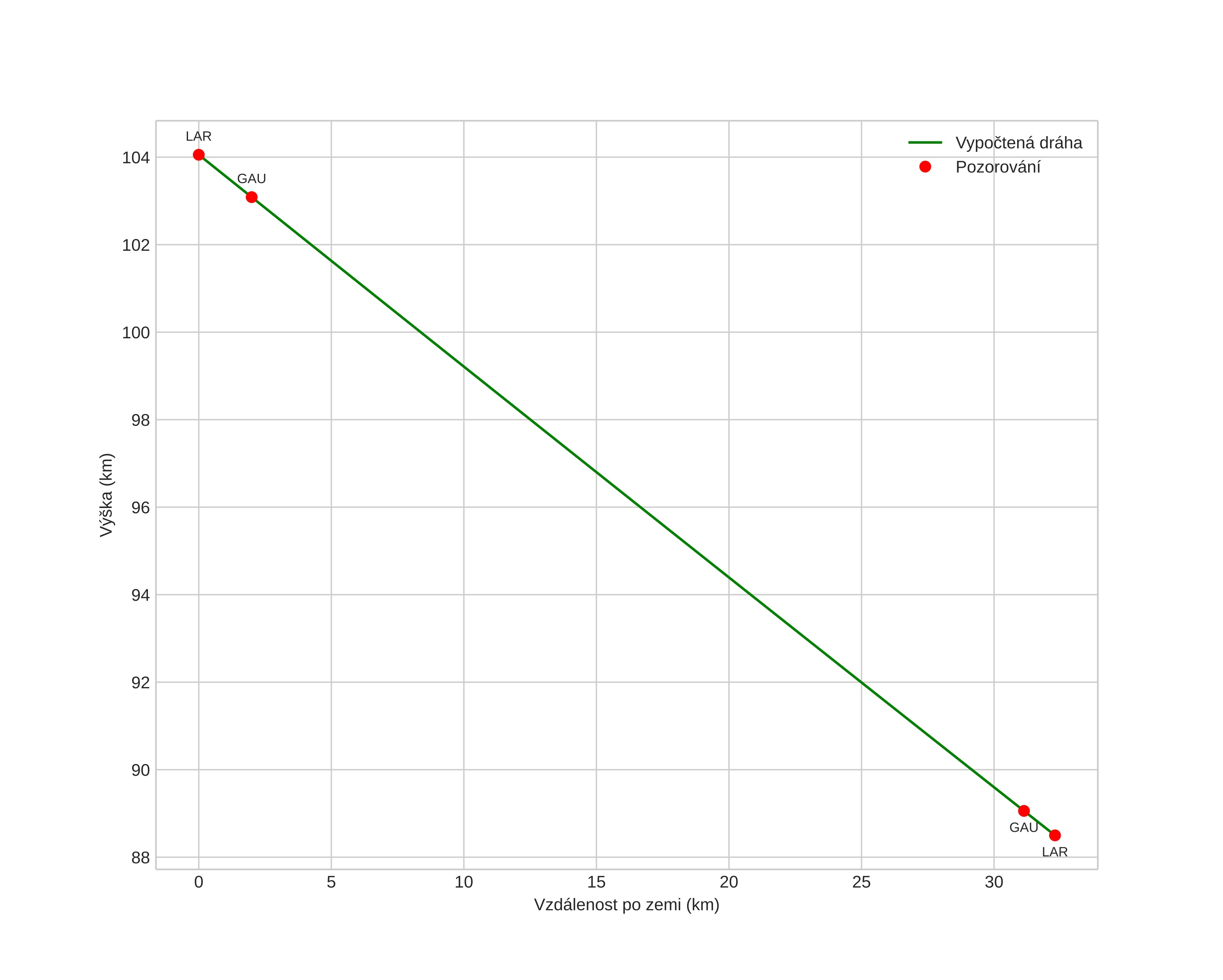
height profile
Atmosférická dráha meteoru:
Počáteční výška: 104,5 km
Konečná výška: 85,8 km
Počáteční poloha: 59,649N 10,528E
Konečná poloha: 59,368N 10,841E
Směr: 150,4°
Sklon: 27,6°
VstupnĂ­ rychlost: 44,7 km/s
Rektascenze radiantu: 15:26 (231,5°)
Deklinace radiantu: 51,0°
MeteorickĂ˝ roj: Kvadrantidy
Elementy dráhy meteoroidu:
Vzdálenost v periheliu: 0,981 AU
Excentricita: 0,898
Sklon dráhy: 72,7°
Délka vzestupného uzlu: 283,5°
Argument perihelia: 173,8°
Střední anomálie: 0,1°
Epocha: 2024 JAN 04 16:49:10
orbit plot

NeinteraktivnĂ­ graf | InteraktivnĂ­ graf

position vs time
speed and acceleration