🇳🇴 🇬🇧 🇩🇪 🇨🇿 🇫🇮

Meteor Karlshusin yllä 2024-01-04 16:49:10 UTC

KML-tiedosto  |  Interaktiivinen kartta

Kartta näyttää meteorin suuntahavainnot. Vaaleammat viivat näyttävät suunnat havaintoasemilta meteorin ilmestyessä, ja tummemmat viivat näyttävät, missä se viimeksi nähtiin. Sininen nuoli näyttää meteorin näkyvän lennon.

static map
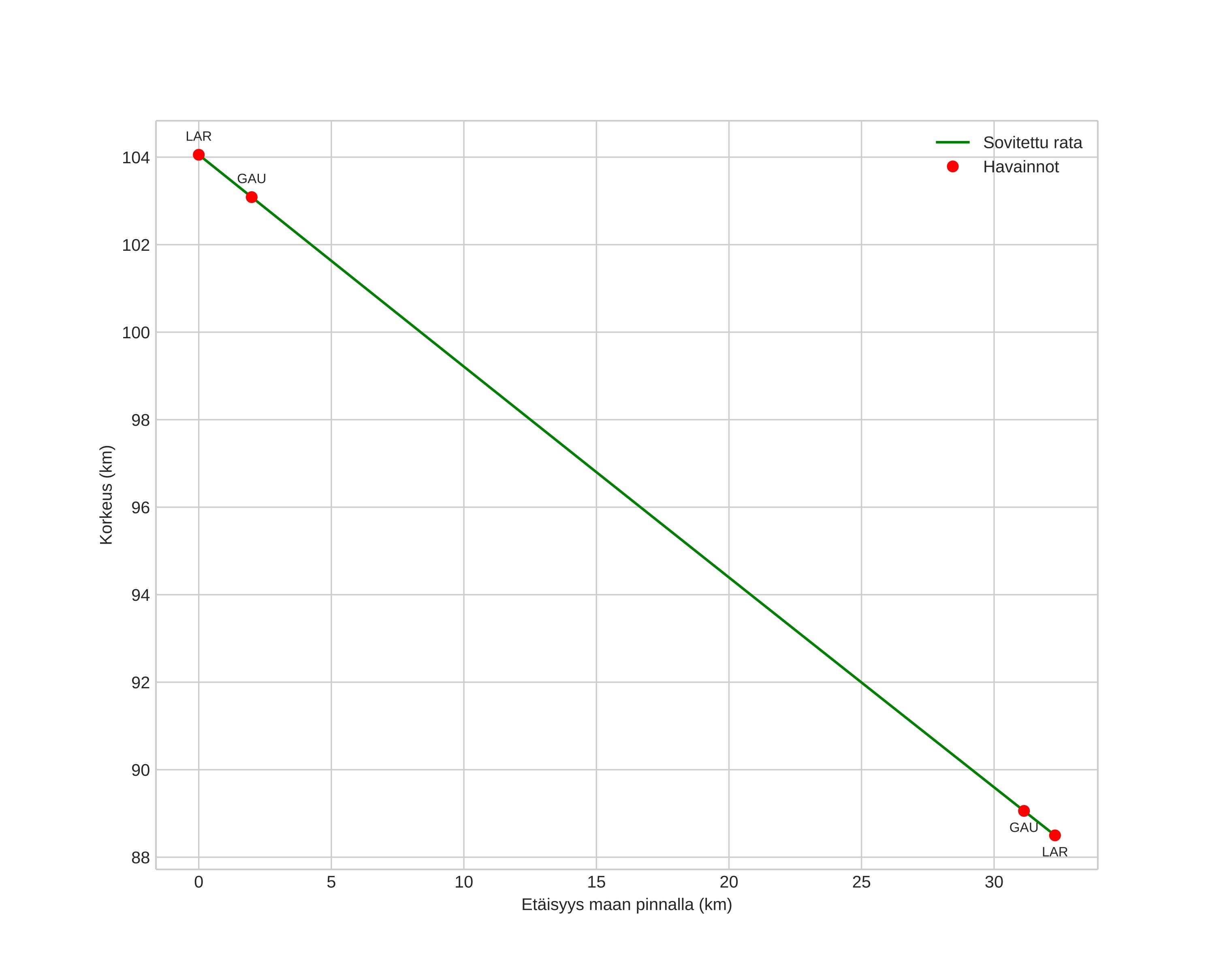
height profile
Meteorin ilmakehärata:
Alkukorkeus: 104,5 km
Loppukorkeus: 85,8 km
Alkupiste: 59,649N 10,528E
Loppupiste: 59,368N 10,841E
Suunta: 150,4°
Kallistuskulma: 27,6°
Tulonopeus: 44,7 km/s
Radiantin R,A,: 15:26 (231,5°)
Radiantin Dekl,: 51,0°
Meteoriparvi: Kvadrantidit
Meteoroidin rataelementit:
Perihelietäisyys: 0,981 AU
Eksentrisyys: 0,898
Inklinaatio: 72,7°
Nousevan solmun pituus: 283,5°
Perihelin argumentti: 173,8°
Keskianomalia: 0,1°
Epookki: 2024 JAN 04 16:49:10
orbit plot

Ei-interaktiivinen kuvaaja | Interaktiivinen kuvaaja

position vs time
speed and acceleration