🇳🇴 🇬🇧 🇩🇪 🇨🇿 🇫🇮

Meteor, poloha: Hamnvik 2024-01-04 16:50:45 UTC

Soubor KML  |  InteraktivnĂ­ mapa

Mapa zobrazuje dráhy meteoru. Světlejší čáry ukazují směry od pozorovacích stanic při objevení se meteoru a tmavší čáry, kde byl naposledy viděn. Modrá šipka značí viditelnou dráhu meteoru.

static map
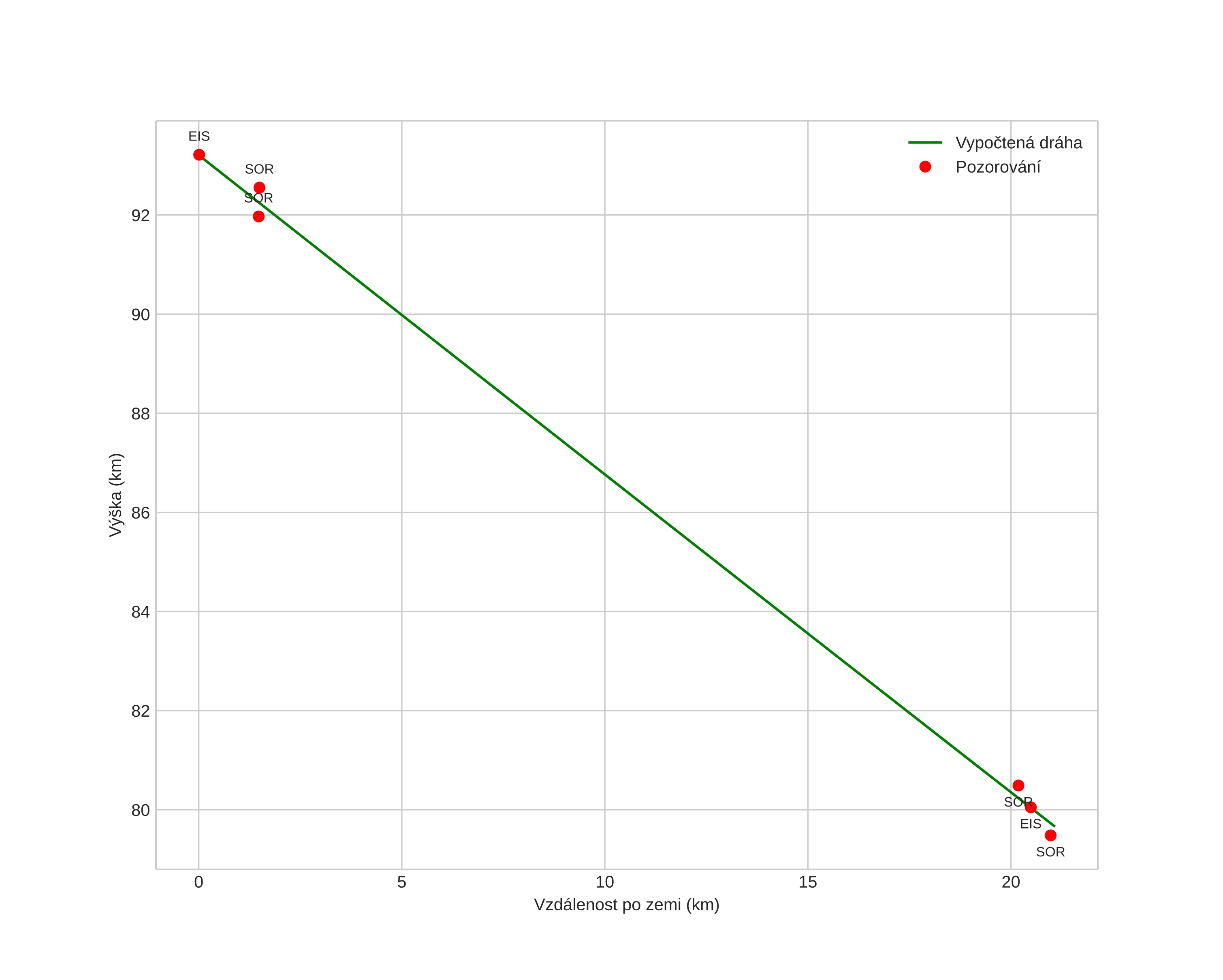
height profile
Atmosférická dráha meteoru:
Počáteční výška: 92,9 km
Konečná výška: 79,3 km
Počáteční poloha: 68,946N 16,922E
Konečná poloha: 68,780N 17,175E
Směr: 151,2°
Sklon: 32,8°
VstupnĂ­ rychlost: 44,3 km/s
Rektascenze radiantu: 15:29 (232,5°)
Deklinace radiantu: 49,4°
MeteorickĂ˝ roj: Kvadrantidy
Elementy dráhy meteoroidu:
Vzdálenost v periheliu: 0,977 AU
Excentricita: 0,832
Sklon dráhy: 72,8°
Délka vzestupného uzlu: 283,5°
Argument perihelia: 170,0°
Střední anomálie: 0,5°
Epocha: 2024 JAN 04 16:50:45
orbit plot

NeinteraktivnĂ­ graf | InteraktivnĂ­ graf

position vs time
speed and acceleration