🇳🇴 🇬🇧 🇩🇪 🇨🇿 🇫🇮

Meteor Hamnvikin yllä 2024-01-04 16:50:45 UTC

KML-tiedosto  |  Interaktiivinen kartta

Kartta näyttää meteorin suuntahavainnot. Vaaleammat viivat näyttävät suunnat havaintoasemilta meteorin ilmestyessä, ja tummemmat viivat näyttävät, missä se viimeksi nähtiin. Sininen nuoli näyttää meteorin näkyvän lennon.

static map
height profile
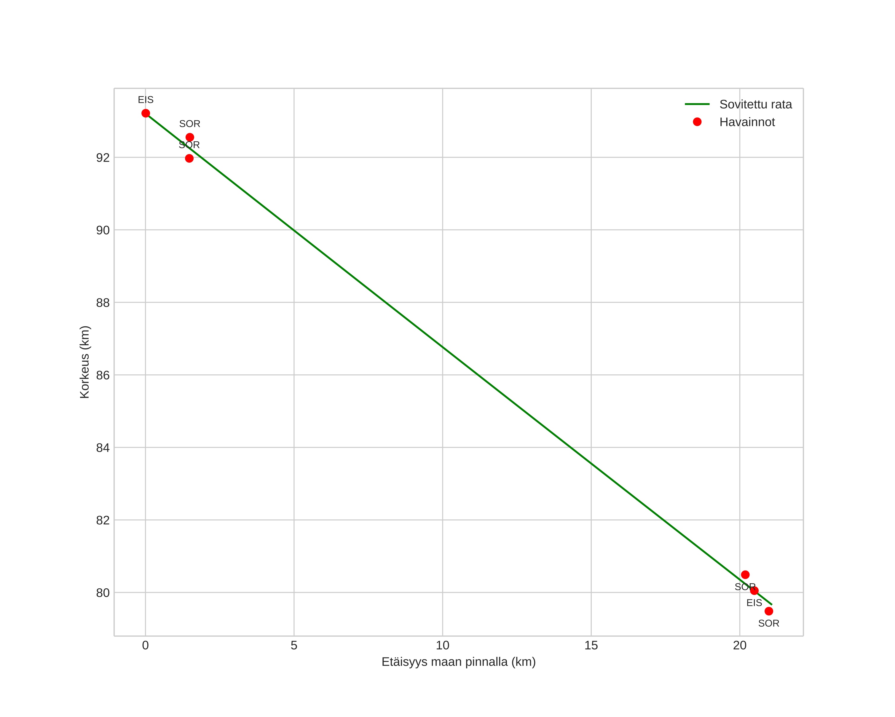
Meteorin ilmakehärata:
Alkukorkeus: 92,9 km
Loppukorkeus: 79,3 km
Alkupiste: 68,946N 16,922E
Loppupiste: 68,780N 17,175E
Suunta: 151,2°
Kallistuskulma: 32,8°
Tulonopeus: 44,3 km/s
Radiantin R,A,: 15:29 (232,5°)
Radiantin Dekl,: 49,4°
Meteoriparvi: Kvadrantidit
Meteoroidin rataelementit:
Perihelietäisyys: 0,977 AU
Eksentrisyys: 0,832
Inklinaatio: 72,8°
Nousevan solmun pituus: 283,5°
Perihelin argumentti: 170,0°
Keskianomalia: 0,5°
Epookki: 2024 JAN 04 16:50:45
orbit plot

Ei-interaktiivinen kuvaaja | Interaktiivinen kuvaaja

position vs time
speed and acceleration