🇳🇴 🇬🇧 🇩🇪 🇨🇿 🇫🇮

Meteor, poloha: Steinsdalen 2024-01-06 05:28:44 UTC

Soubor KML  |  InteraktivnĂ­ mapa

Mapa zobrazuje dráhy meteoru. Světlejší čáry ukazují směry od pozorovacích stanic při objevení se meteoru a tmavší čáry, kde byl naposledy viděn. Modrá šipka značí viditelnou dráhu meteoru.

static map
height profile
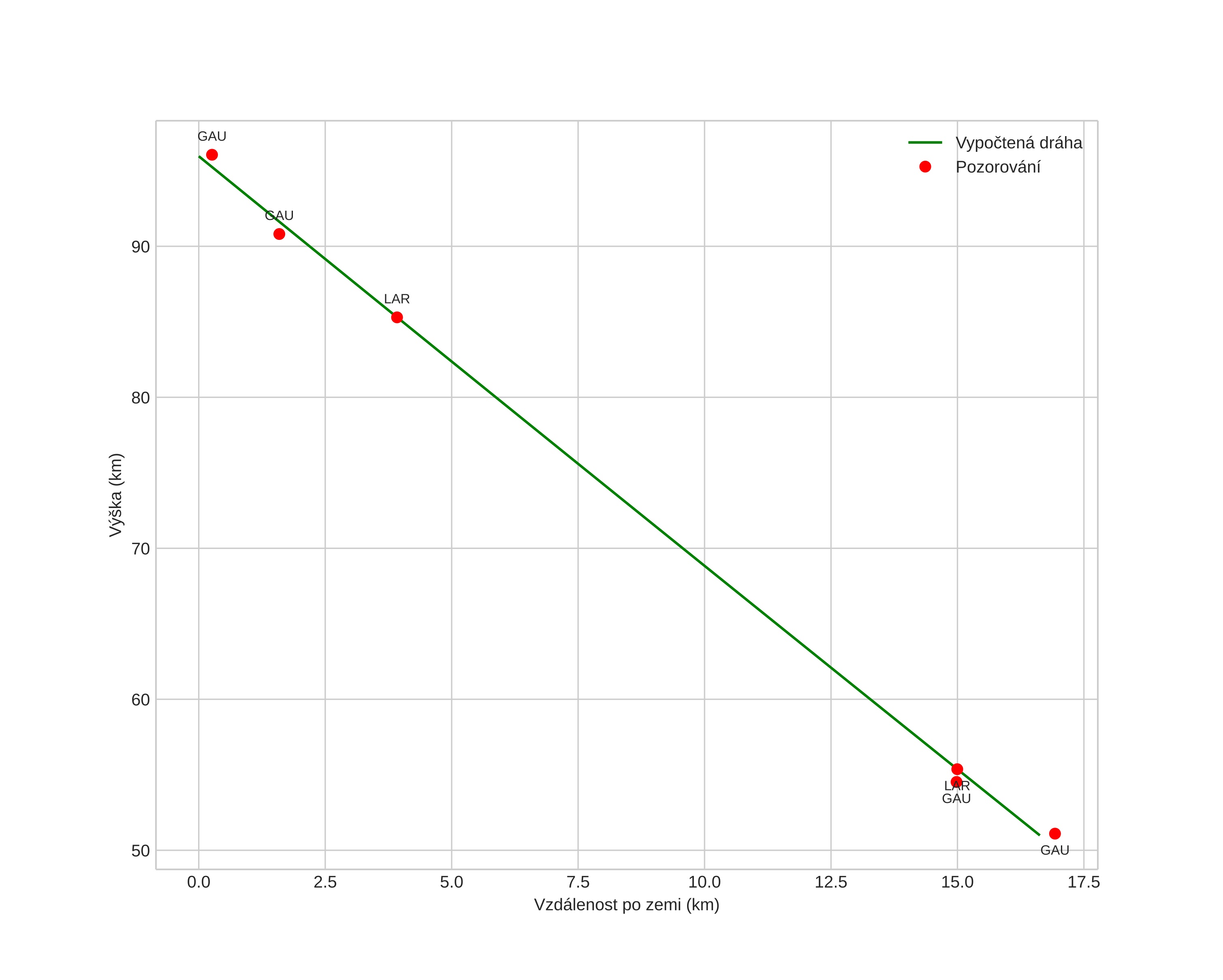
Atmosférická dráha meteoru:
Počáteční výška: 88,9 km
Konečná výška: 54,4 km
Počáteční poloha: 64,201N 10,945E
Konečná poloha: 64,306N 10,724E
Směr: 317,6°
Sklon: 65,3°
VstupnĂ­ rychlost: 41,0 km/s
Rektascenze radiantu: 14:42 (220,6°)
Deklinace radiantu: 42,8°
MeteorickĂ˝ roj: Kvadrantidy
Elementy dráhy meteoroidu:
Vzdálenost v periheliu: 0,982 AU
Excentricita: 0,199
Sklon dráhy: 77,0°
Délka vzestupného uzlu: 285,0°
Argument perihelia: 172,2°
Střední anomálie: 5,1°
Epocha: 2024 JAN 06 05:28:44
orbit plot

NeinteraktivnĂ­ graf | InteraktivnĂ­ graf

position vs time
speed and acceleration