🇳🇴 🇬🇧 🇩🇪 🇨🇿 🇫🇮

Meteor Steinsdalenin yllä 2024-01-06 05:28:44 UTC

KML-tiedosto  |  Interaktiivinen kartta

Kartta näyttää meteorin suuntahavainnot. Vaaleammat viivat näyttävät suunnat havaintoasemilta meteorin ilmestyessä, ja tummemmat viivat näyttävät, missä se viimeksi nähtiin. Sininen nuoli näyttää meteorin näkyvän lennon.

static map
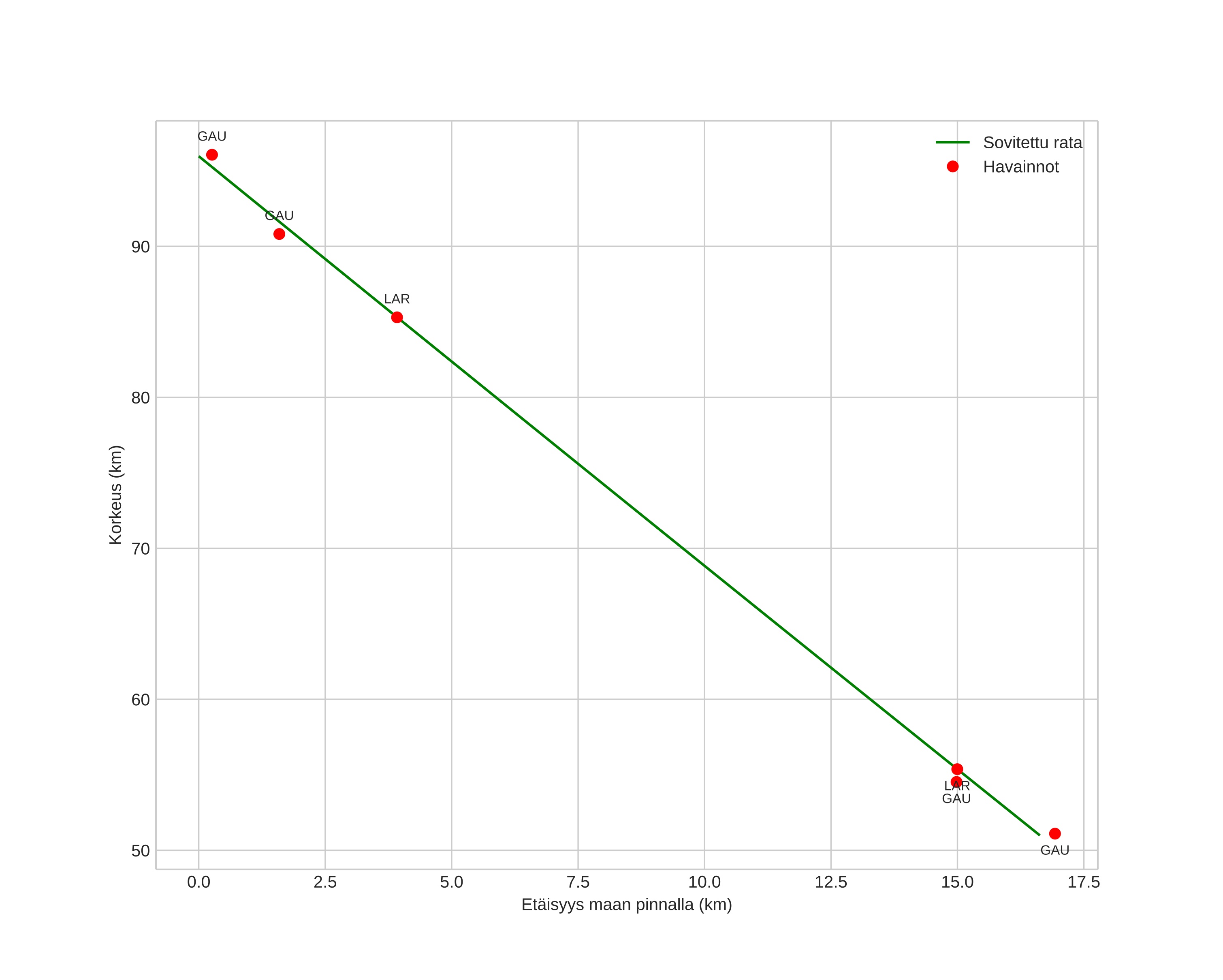
height profile
Meteorin ilmakehärata:
Alkukorkeus: 88,9 km
Loppukorkeus: 54,4 km
Alkupiste: 64,201N 10,945E
Loppupiste: 64,306N 10,724E
Suunta: 317,6°
Kallistuskulma: 65,3°
Tulonopeus: 41,0 km/s
Radiantin R,A,: 14:42 (220,6°)
Radiantin Dekl,: 42,8°
Meteoriparvi: Kvadrantidit
Meteoroidin rataelementit:
Perihelietäisyys: 0,982 AU
Eksentrisyys: 0,199
Inklinaatio: 77,0°
Nousevan solmun pituus: 285,0°
Perihelin argumentti: 172,2°
Keskianomalia: 5,1°
Epookki: 2024 JAN 06 05:28:44
orbit plot

Ei-interaktiivinen kuvaaja | Interaktiivinen kuvaaja

position vs time
speed and acceleration