🇳🇴 🇬🇧 🇩🇪 🇨🇿 🇫🇮

Meteor, poloha: Hundorp 2024-01-07 16:40:30 UTC

Soubor KML  |  InteraktivnĂ­ mapa

Mapa zobrazuje dráhy meteoru. Světlejší čáry ukazují směry od pozorovacích stanic při objevení se meteoru a tmavší čáry, kde byl naposledy viděn. Modrá šipka značí viditelnou dráhu meteoru.

static map
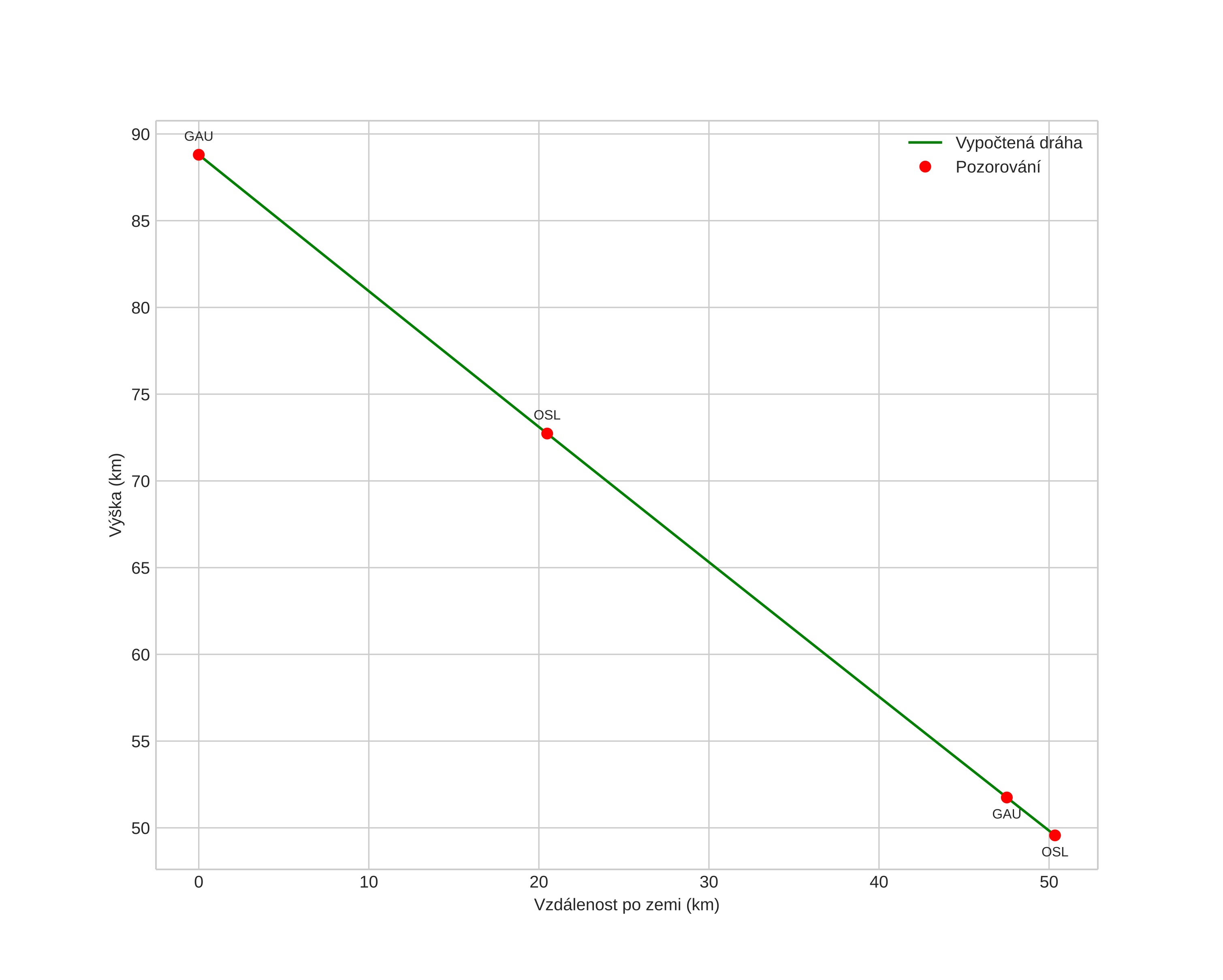
height profile
Atmosférická dráha meteoru:
Počáteční výška: 88,1 km
Konečná výška: 49,7 km
Počáteční poloha: 61,991N 10,646E
Konečná poloha: 61,724N 9,885E
Směr: 233,7°
Sklon: 37,7°
VstupnĂ­ rychlost: 24,4 km/s
Rektascenze radiantu: 07:24 (111,2°)
Deklinace radiantu: 47,2°
MeteorickĂ˝ roj: sporadickĂ˝
Elementy dráhy meteoroidu:
Vzdálenost v periheliu: 0,651 AU
Excentricita: 0,703
Sklon dráhy: 16,5°
Délka vzestupného uzlu: 286,5°
Argument perihelia: 259,5°
Střední anomálie: 346,7°
Epocha: 2024 JAN 07 16:40:30
orbit plot

NeinteraktivnĂ­ graf | InteraktivnĂ­ graf

position vs time
speed and acceleration