🇳🇴 🇬🇧 🇩🇪 🇨🇿 🇫🇮

Meteor Hundorpin yllä 2024-01-07 16:40:30 UTC

KML-tiedosto  |  Interaktiivinen kartta

Kartta näyttää meteorin suuntahavainnot. Vaaleammat viivat näyttävät suunnat havaintoasemilta meteorin ilmestyessä, ja tummemmat viivat näyttävät, missä se viimeksi nähtiin. Sininen nuoli näyttää meteorin näkyvän lennon.

static map
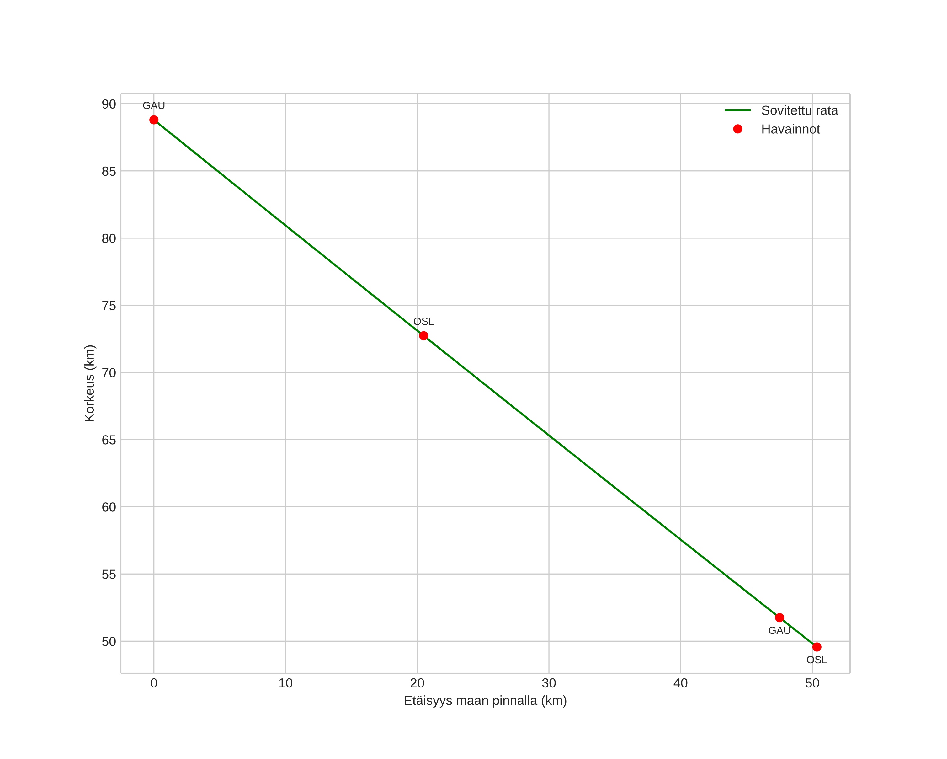
height profile
Meteorin ilmakehärata:
Alkukorkeus: 88,1 km
Loppukorkeus: 49,7 km
Alkupiste: 61,991N 10,646E
Loppupiste: 61,724N 9,885E
Suunta: 233,7°
Kallistuskulma: 37,7°
Tulonopeus: 24,4 km/s
Radiantin R,A,: 07:24 (111,2°)
Radiantin Dekl,: 47,2°
Meteoriparvi: Sporadinen
Meteoroidin rataelementit:
Perihelietäisyys: 0,651 AU
Eksentrisyys: 0,703
Inklinaatio: 16,5°
Nousevan solmun pituus: 286,5°
Perihelin argumentti: 259,5°
Keskianomalia: 346,7°
Epookki: 2024 JAN 07 16:40:30
orbit plot

Ei-interaktiivinen kuvaaja | Interaktiivinen kuvaaja

position vs time
speed and acceleration