🇳🇴 🇬🇧 🇩🇪 🇨🇿 🇫🇮

Meteor, poloha: Risør 2024-01-08 00:51:50 UTC

Soubor KML  |  InteraktivnĂ­ mapa

Mapa zobrazuje dráhy meteoru. Světlejší čáry ukazují směry od pozorovacích stanic při objevení se meteoru a tmavší čáry, kde byl naposledy viděn. Modrá šipka značí viditelnou dráhu meteoru.

static map
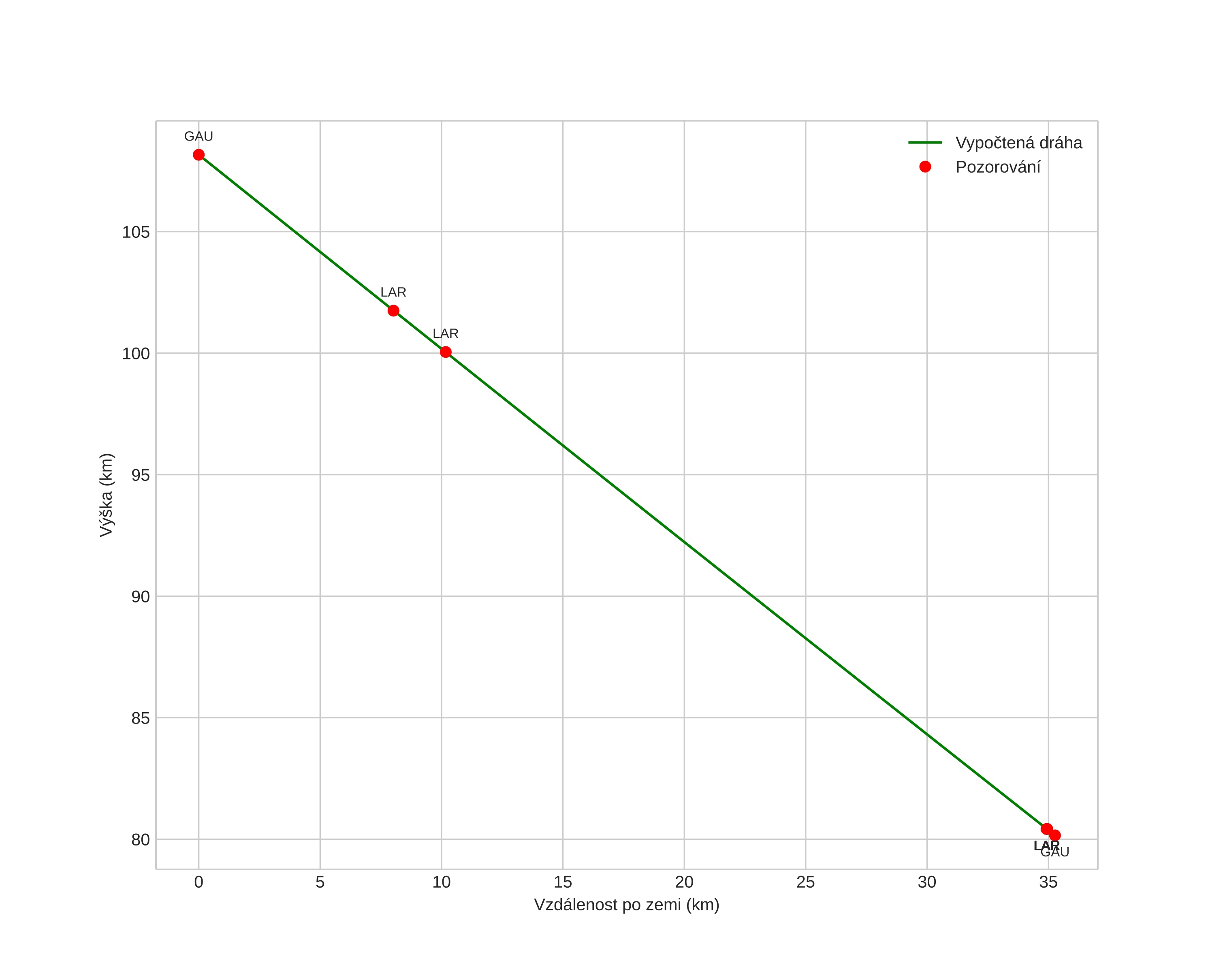
height profile
Atmosférická dráha meteoru:
Počáteční výška: 108,2 km
Konečná výška: 80,2 km
Počáteční poloha: 58,714N 9,820E
Konečná poloha: 58,503N 9,364E
Směr: 228,6°
Sklon: 38,4°
VstupnĂ­ rychlost: 39,9 km/s
Rektascenze radiantu: 15:29 (232,3°)
Deklinace radiantu: 52,6°
MeteorickĂ˝ roj: Kvadrantidy
Elementy dráhy meteoroidu:
Vzdálenost v periheliu: 0,983 AU
Excentricita: 0,629
Sklon dráhy: 66,4°
Délka vzestupného uzlu: 286,9°
Argument perihelia: 178,1°
Střední anomálie: 0,3°
Epocha: 2024 JAN 08 00:51:50
orbit plot

NeinteraktivnĂ­ graf | InteraktivnĂ­ graf

position vs time
speed and acceleration