🇳🇴 🇬🇧 🇩🇪 🇨🇿 🇫🇮

Meteor Risørin yllä 2024-01-08 00:51:50 UTC

KML-tiedosto  |  Interaktiivinen kartta

Kartta näyttää meteorin suuntahavainnot. Vaaleammat viivat näyttävät suunnat havaintoasemilta meteorin ilmestyessä, ja tummemmat viivat näyttävät, missä se viimeksi nähtiin. Sininen nuoli näyttää meteorin näkyvän lennon.

static map
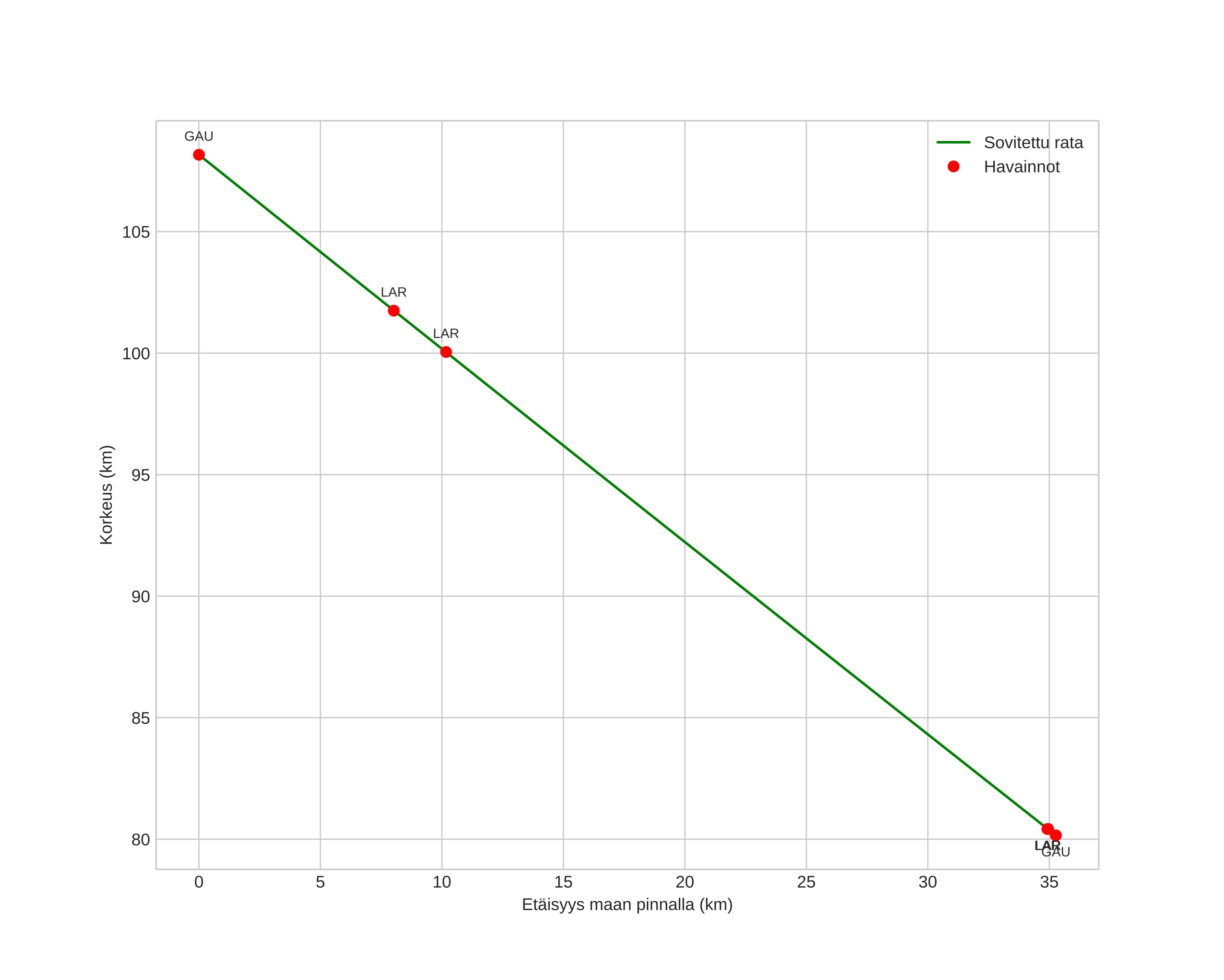
height profile
Meteorin ilmakehärata:
Alkukorkeus: 108,2 km
Loppukorkeus: 80,2 km
Alkupiste: 58,714N 9,820E
Loppupiste: 58,503N 9,364E
Suunta: 228,6°
Kallistuskulma: 38,4°
Tulonopeus: 39,9 km/s
Radiantin R,A,: 15:29 (232,3°)
Radiantin Dekl,: 52,6°
Meteoriparvi: Kvadrantidit
Meteoroidin rataelementit:
Perihelietäisyys: 0,983 AU
Eksentrisyys: 0,629
Inklinaatio: 66,4°
Nousevan solmun pituus: 286,9°
Perihelin argumentti: 178,1°
Keskianomalia: 0,3°
Epookki: 2024 JAN 08 00:51:50
orbit plot

Ei-interaktiivinen kuvaaja | Interaktiivinen kuvaaja

position vs time
speed and acceleration