🇳🇴 🇬🇧 🇩🇪 🇨🇿 🇫🇮

Meteor, poloha: Porsgrunn 2024-01-08 01:28:00 UTC

Soubor KML  |  InteraktivnĂ­ mapa

Mapa zobrazuje dráhy meteoru. Světlejší čáry ukazují směry od pozorovacích stanic při objevení se meteoru a tmavší čáry, kde byl naposledy viděn. Modrá šipka značí viditelnou dráhu meteoru.

static map
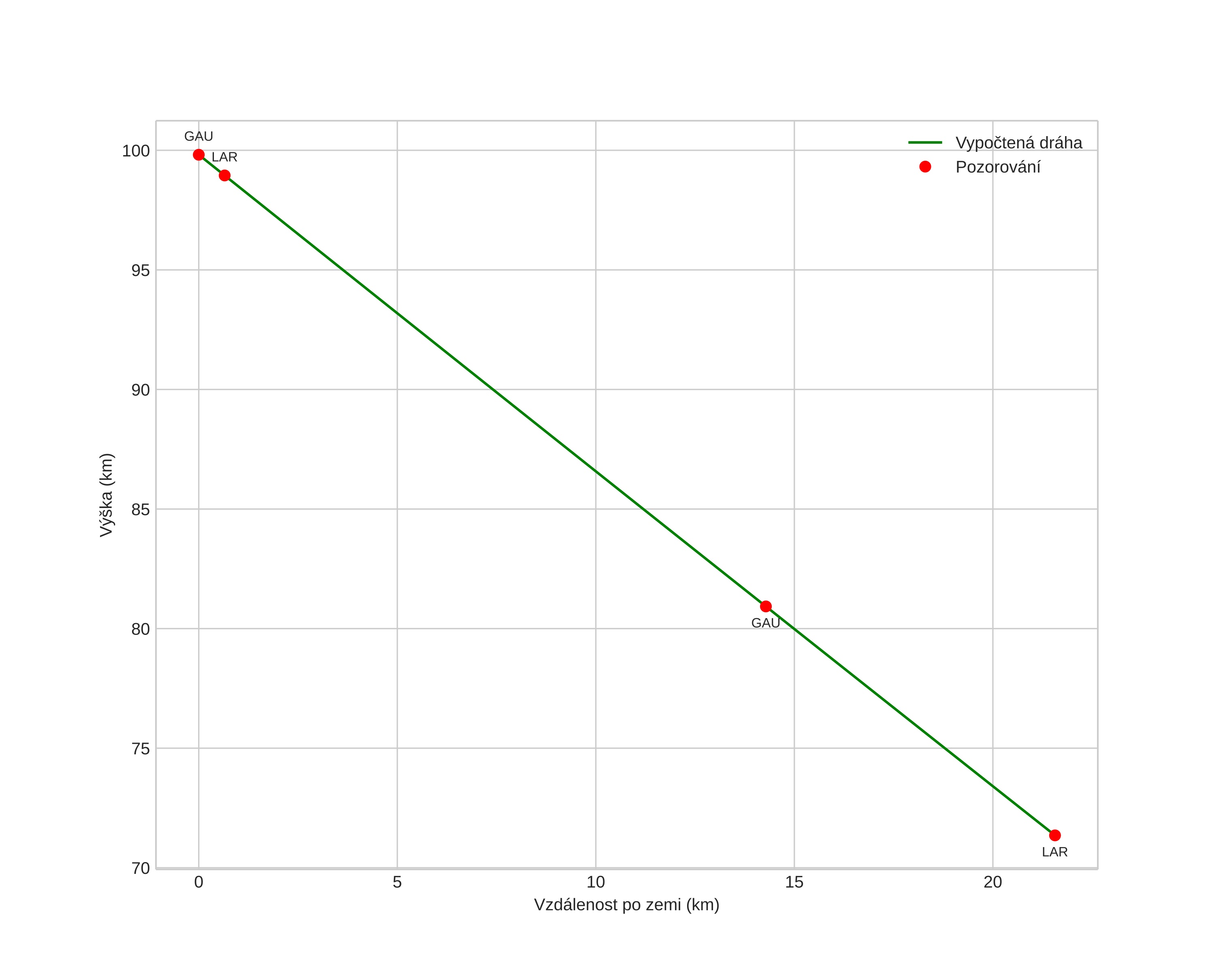
height profile
Atmosférická dráha meteoru:
Počáteční výška: 99,9 km
Konečná výška: 71,3 km
Počáteční poloha: 58,873N 9,568E
Konečná poloha: 59,063N 9,650E
Směr: 12,4°
Sklon: 52,9°
VstupnĂ­ rychlost: 31,1 km/s
Rektascenze radiantu: 08:38 (129,6°)
Deklinace radiantu: 20,9°
MeteorickĂ˝ roj: sporadickĂ˝
Elementy dráhy meteoroidu:
Vzdálenost v periheliu: 0,253 AU
Excentricita: 0,819
Sklon dráhy: 3,3°
Délka vzestupného uzlu: 286,9°
Argument perihelia: 310,5°
Střední anomálie: 335,0°
Epocha: 2024 JAN 08 01:28:00
orbit plot

NeinteraktivnĂ­ graf | InteraktivnĂ­ graf

position vs time
speed and acceleration