🇳🇴 🇬🇧 🇩🇪 🇨🇿 🇫🇮

Meteor Porsgrunnin yllä 2024-01-08 01:28:00 UTC

KML-tiedosto  |  Interaktiivinen kartta

Kartta näyttää meteorin suuntahavainnot. Vaaleammat viivat näyttävät suunnat havaintoasemilta meteorin ilmestyessä, ja tummemmat viivat näyttävät, missä se viimeksi nähtiin. Sininen nuoli näyttää meteorin näkyvän lennon.

static map
height profile
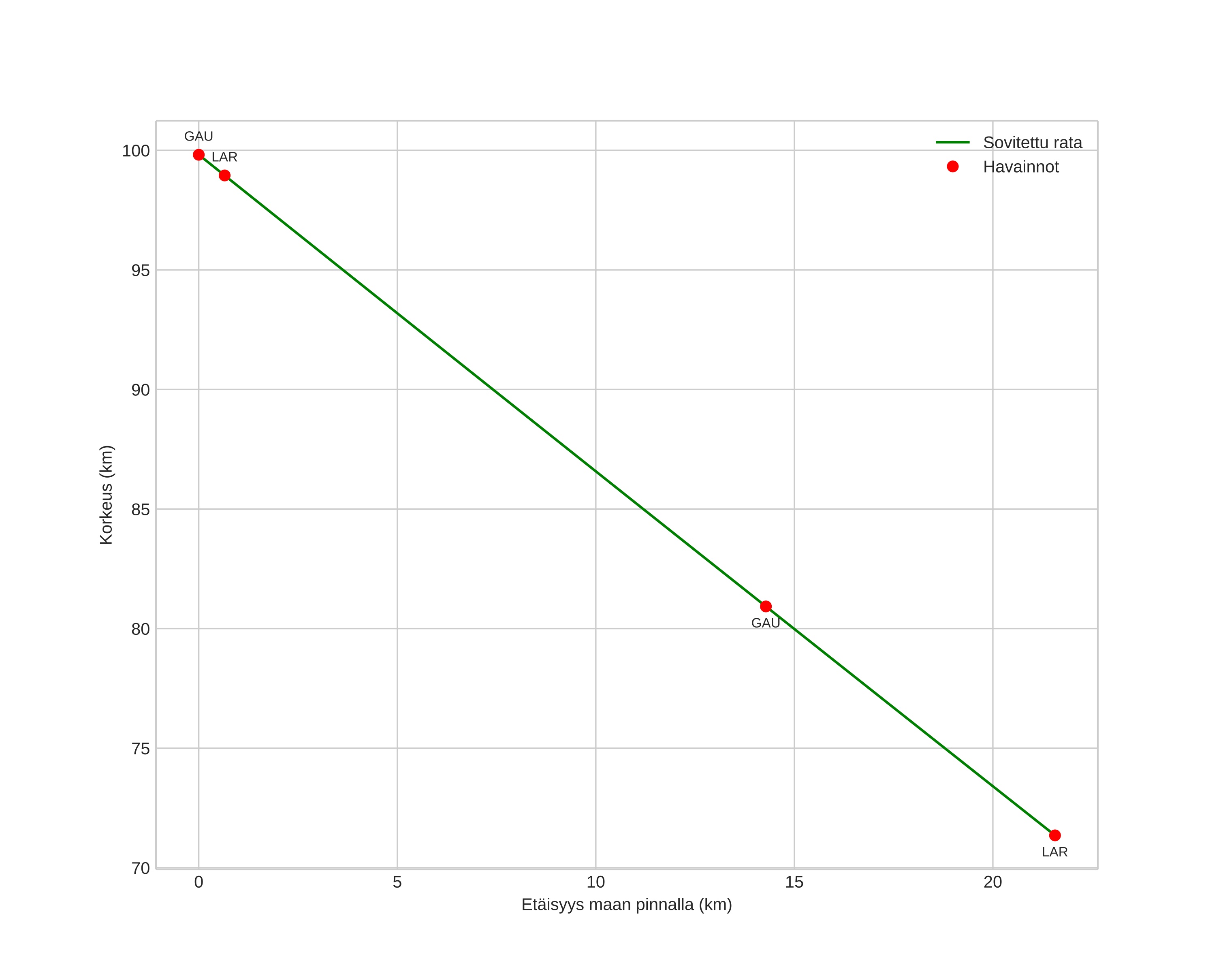
Meteorin ilmakehärata:
Alkukorkeus: 99,9 km
Loppukorkeus: 71,3 km
Alkupiste: 58,873N 9,568E
Loppupiste: 59,063N 9,650E
Suunta: 12,4°
Kallistuskulma: 52,9°
Tulonopeus: 31,1 km/s
Radiantin R,A,: 08:38 (129,6°)
Radiantin Dekl,: 20,9°
Meteoriparvi: Sporadinen
Meteoroidin rataelementit:
Perihelietäisyys: 0,253 AU
Eksentrisyys: 0,819
Inklinaatio: 3,3°
Nousevan solmun pituus: 286,9°
Perihelin argumentti: 310,5°
Keskianomalia: 335,0°
Epookki: 2024 JAN 08 01:28:00
orbit plot

Ei-interaktiivinen kuvaaja | Interaktiivinen kuvaaja

position vs time
speed and acceleration