🇳🇴 🇬🇧 🇩🇪 🇨🇿 🇫🇮

Meteor, poloha: Fredrikstad 2024-01-09 17:23:38 UTC

Soubor KML  |  InteraktivnĂ­ mapa

Mapa zobrazuje dráhy meteoru. Světlejší čáry ukazují směry od pozorovacích stanic při objevení se meteoru a tmavší čáry, kde byl naposledy viděn. Modrá šipka značí viditelnou dráhu meteoru.

static map
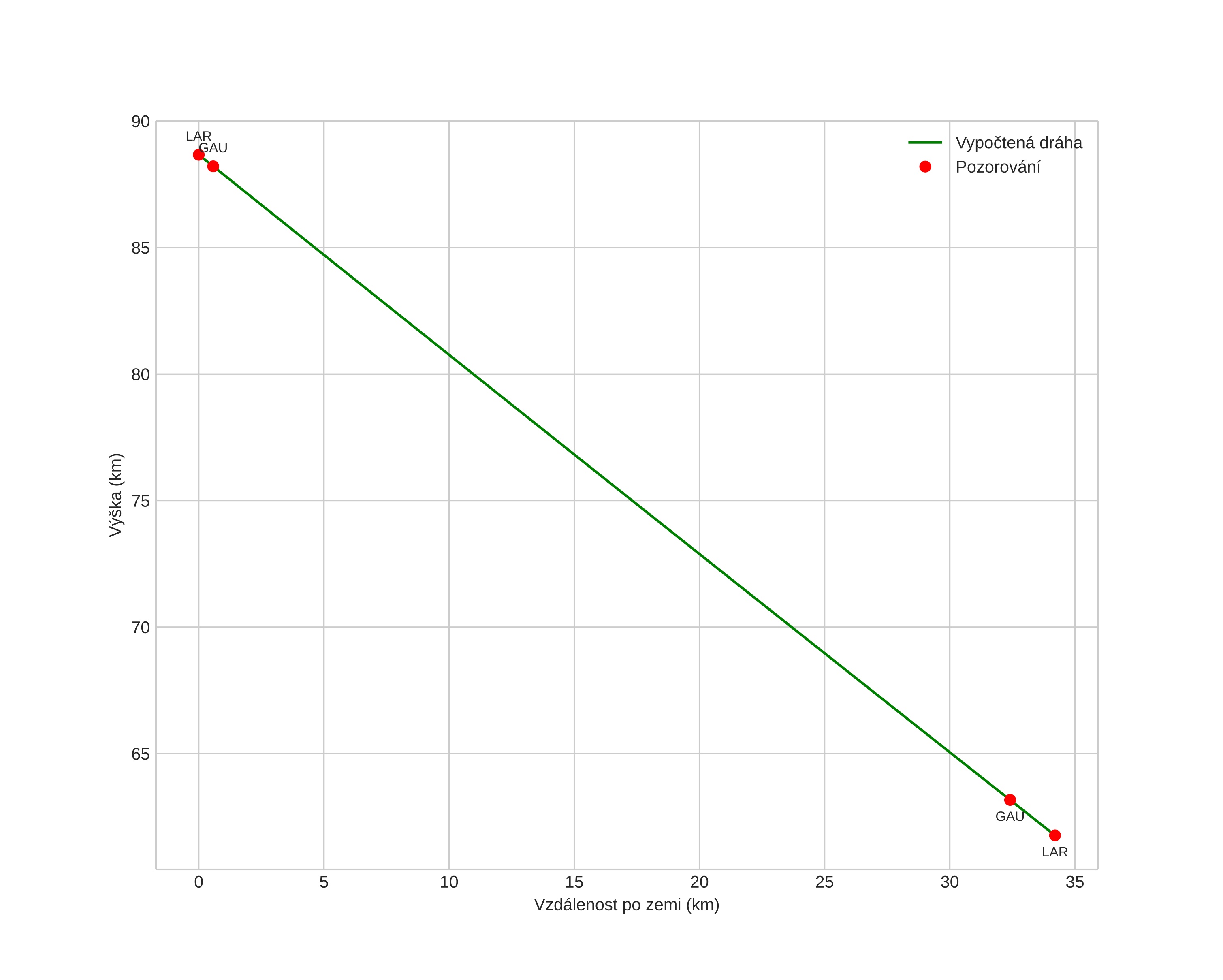
height profile
Atmosférická dráha meteoru:
Počáteční výška: 88,6 km
Konečná výška: 62,0 km
Počáteční poloha: 59,218N 10,454E
Konečná poloha: 59,161N 11,047E
Směr: 100,3°
Sklon: 37,7°
VstupnĂ­ rychlost: 20,7 km/s
Rektascenze radiantu: 20:00 (300,0°)
Deklinace radiantu: 32,5°
MeteorickĂ˝ roj: sporadickĂ˝
Elementy dráhy meteoroidu:
Vzdálenost v periheliu: 0,902 AU
Excentricita: 0,695
Sklon dráhy: 21,7°
Délka vzestupného uzlu: 288,6°
Argument perihelia: 143,0°
Střední anomálie: 5,1°
Epocha: 2024 JAN 09 17:23:38
orbit plot

NeinteraktivnĂ­ graf | InteraktivnĂ­ graf

position vs time
speed and acceleration