🇳🇴 🇬🇧 🇩🇪 🇨🇿 🇫🇮

Meteor Fredrikstadin yllä 2024-01-09 17:23:38 UTC

KML-tiedosto  |  Interaktiivinen kartta

Kartta näyttää meteorin suuntahavainnot. Vaaleammat viivat näyttävät suunnat havaintoasemilta meteorin ilmestyessä, ja tummemmat viivat näyttävät, missä se viimeksi nähtiin. Sininen nuoli näyttää meteorin näkyvän lennon.

static map
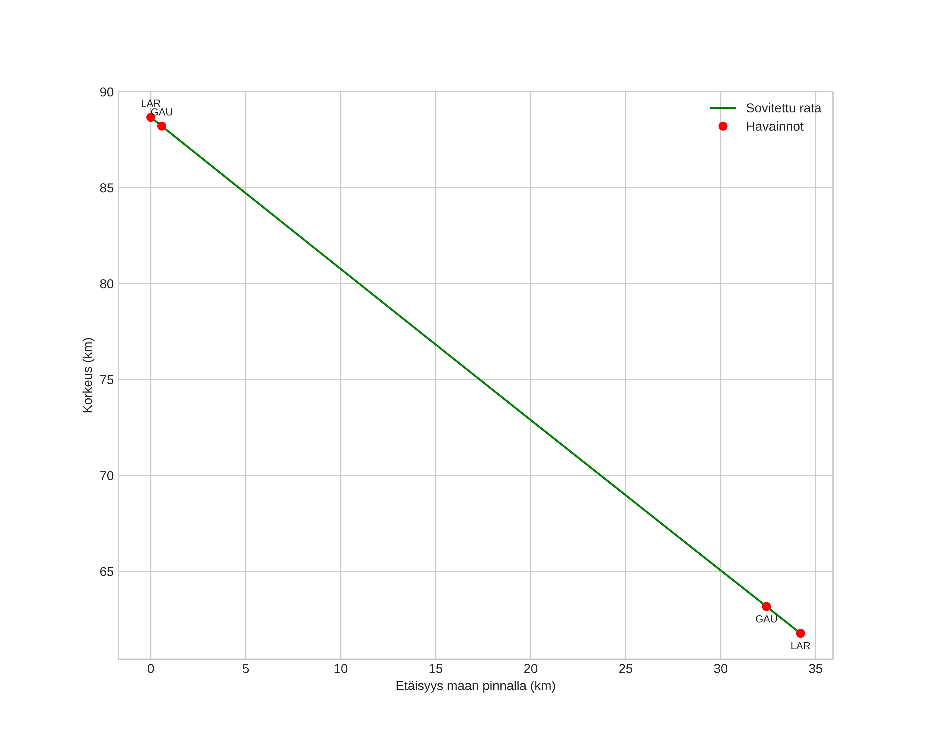
height profile
Meteorin ilmakehärata:
Alkukorkeus: 88,6 km
Loppukorkeus: 62,0 km
Alkupiste: 59,218N 10,454E
Loppupiste: 59,161N 11,047E
Suunta: 100,3°
Kallistuskulma: 37,7°
Tulonopeus: 20,7 km/s
Radiantin R,A,: 20:00 (300,0°)
Radiantin Dekl,: 32,5°
Meteoriparvi: Sporadinen
Meteoroidin rataelementit:
Perihelietäisyys: 0,902 AU
Eksentrisyys: 0,695
Inklinaatio: 21,7°
Nousevan solmun pituus: 288,6°
Perihelin argumentti: 143,0°
Keskianomalia: 5,1°
Epookki: 2024 JAN 09 17:23:38
orbit plot

Ei-interaktiivinen kuvaaja | Interaktiivinen kuvaaja

position vs time
speed and acceleration