🇳🇴 🇬🇧 🇩🇪 🇨🇿 🇫🇮

Meteor, poloha: Tjøme 2024-01-11 22:48:49 UTC

Soubor KML  |  InteraktivnĂ­ mapa

Mapa zobrazuje dráhy meteoru. Světlejší čáry ukazují směry od pozorovacích stanic při objevení se meteoru a tmavší čáry, kde byl naposledy viděn. Modrá šipka značí viditelnou dráhu meteoru.

static map
height profile
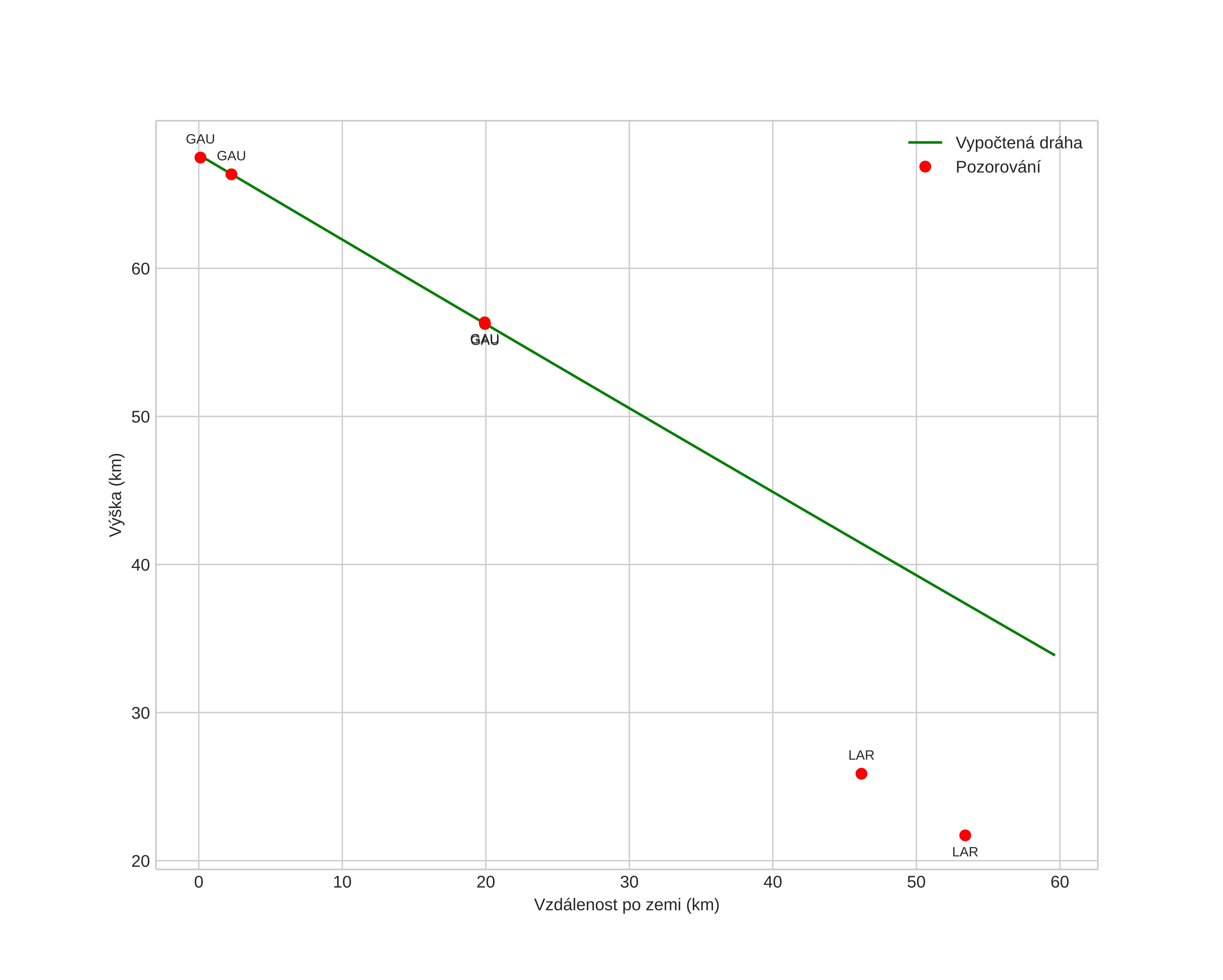
Atmosférická dráha meteoru:
Počáteční výška: 67,8 km
Konečná výška: 34,0 km
Počáteční poloha: 59,503N 11,086E
Konečná poloha: 59,094N 10,401E
Směr: 220,8°
Sklon: 29,4°
VstupnĂ­ rychlost: 31,8 km/s
Rektascenze radiantu: 15:00 (225,1°)
Deklinace radiantu: 47,8°
MeteorickĂ˝ roj: sporadickĂ˝
Elementy dráhy meteoroidu:
Vzdálenost v periheliu: 0,958 AU
Excentricita: 0,034
Sklon dráhy: 58,6°
Délka vzestupného uzlu: 290,9°
Argument perihelia: 258,8°
Střední anomálie: 285,0°
Epocha: 2024 JAN 11 22:48:49
orbit plot

NeinteraktivnĂ­ graf | InteraktivnĂ­ graf

position vs time
speed and acceleration