🇳🇴 🇬🇧 🇩🇪 🇨🇿 🇫🇮

Meteor Årøysundin yllä 2024-01-11 22:48:49 UTC

KML-tiedosto

Kartta näyttää meteorin suuntahavainnot. Vaaleammat viivat näyttävät suunnat havaintoasemilta meteorin ilmestyessä, ja tummemmat viivat näyttävät, missä se viimeksi nähtiin. Sininen nuoli näyttää meteorin näkyvän lennon.

static map
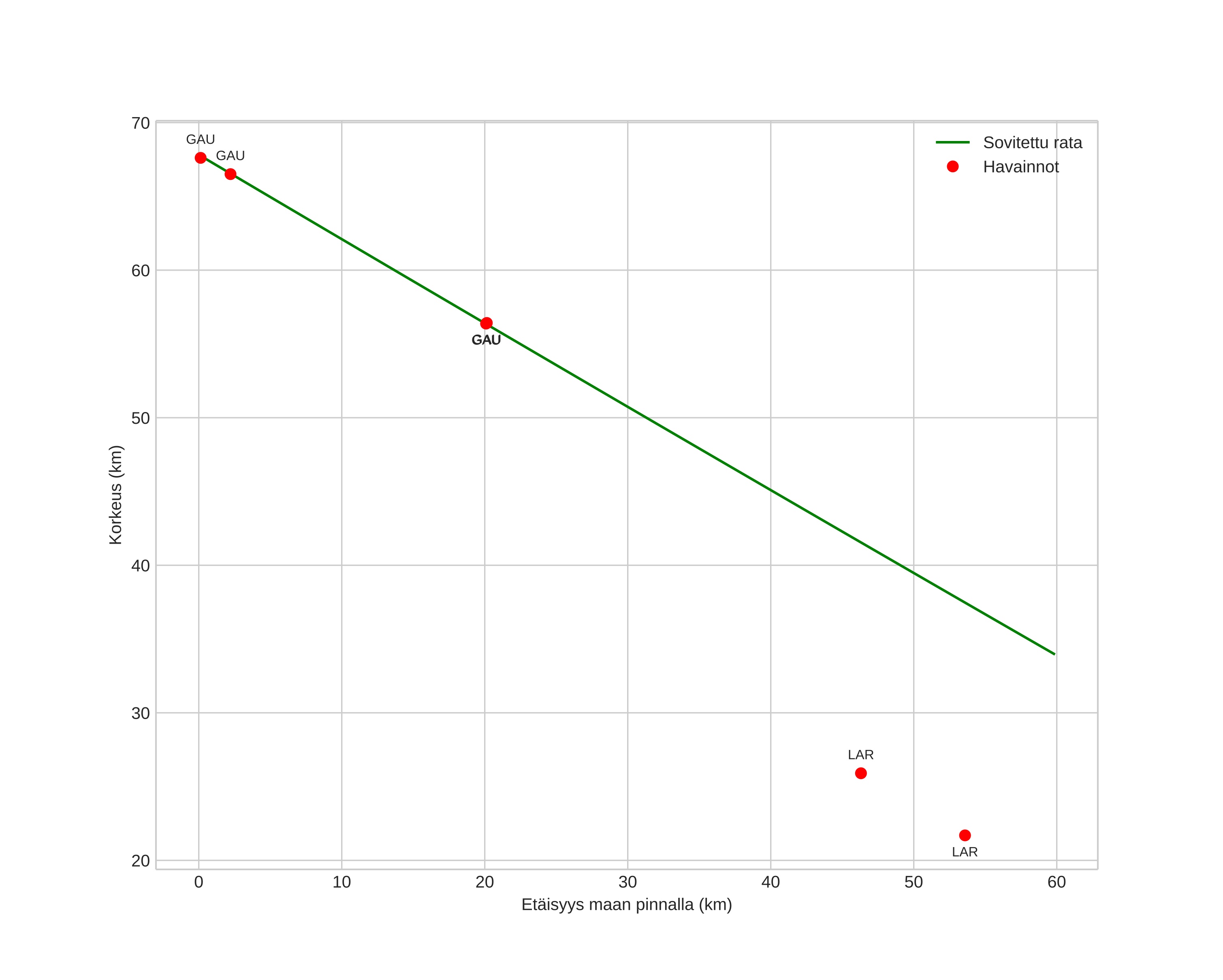
height profile
Meteorens atmosfæriske bane:
Starthøgde: 64,8 km
Slutthøgde: 37,9 km
Startposisjon: 59,506N 11,013E
Sluttposisjon: 59,095N 10,506E
Retning: 212,4°
Fallvinkel: 26,4°
Inngangshastighet: 29,3 km/s
Radiantens rektascensjon: 15:50 (237,7°)
Radiantens deklinasjon: 47,9°
Meteorsverm: sporadisk
Meteoroidens baneelement:
Perihelavstand: 0,951 AU
Eksentrisitet: 0,103
Inklinasjon: 51,9°
Knutelengde: 290,9°
Perihelargument: 130,3°
Midlere anomali: 41,2°
Epoke: 2024 JAN 11 22:48:49
orbit plot

Ei-interaktiivinen kuvaaja

position vs time
speed and acceleration

Gaustatoppen (GAU) cam3


gnomonic
Videoer
• Gnomonisk
• Gnomonisk med koordinater
• Original
• Original med koordinater
Bilder
• Gnomonisk
• Gnomonisk med koordinater
• Ukorrigert gnomonisk med koordinater
• Gnomonisk med annotering
• Ukorrigert gnomonisk med annotering
• Original
• Original med koordinater
Tekstfiler
• Deteksjon
• Observasjon
• Koordinater
• Feilmeldinger

Gaustatoppen (GAU) cam4


gnomonic
Videoer
• Gnomonisk
• Gnomonisk med koordinater
• Original
• Original med koordinater
Bilder
• Gnomonisk
• Gnomonisk med koordinater
• Ukorrigert gnomonisk med koordinater
• Gnomonisk med annotering
• Ukorrigert gnomonisk med annotering
• Original
• Original med koordinater
Tekstfiler
• Deteksjon
• Observasjon
• Koordinater
• Feilmeldinger