🇳🇴 🇬🇧 🇩🇪 🇨🇿 🇫🇮

Meteor, poloha: Hurdal 2024-01-12 01:49:13 UTC

Soubor KML  |  InteraktivnĂ­ mapa

Mapa zobrazuje dráhy meteoru. Světlejší čáry ukazují směry od pozorovacích stanic při objevení se meteoru a tmavší čáry, kde byl naposledy viděn. Modrá šipka značí viditelnou dráhu meteoru.

static map
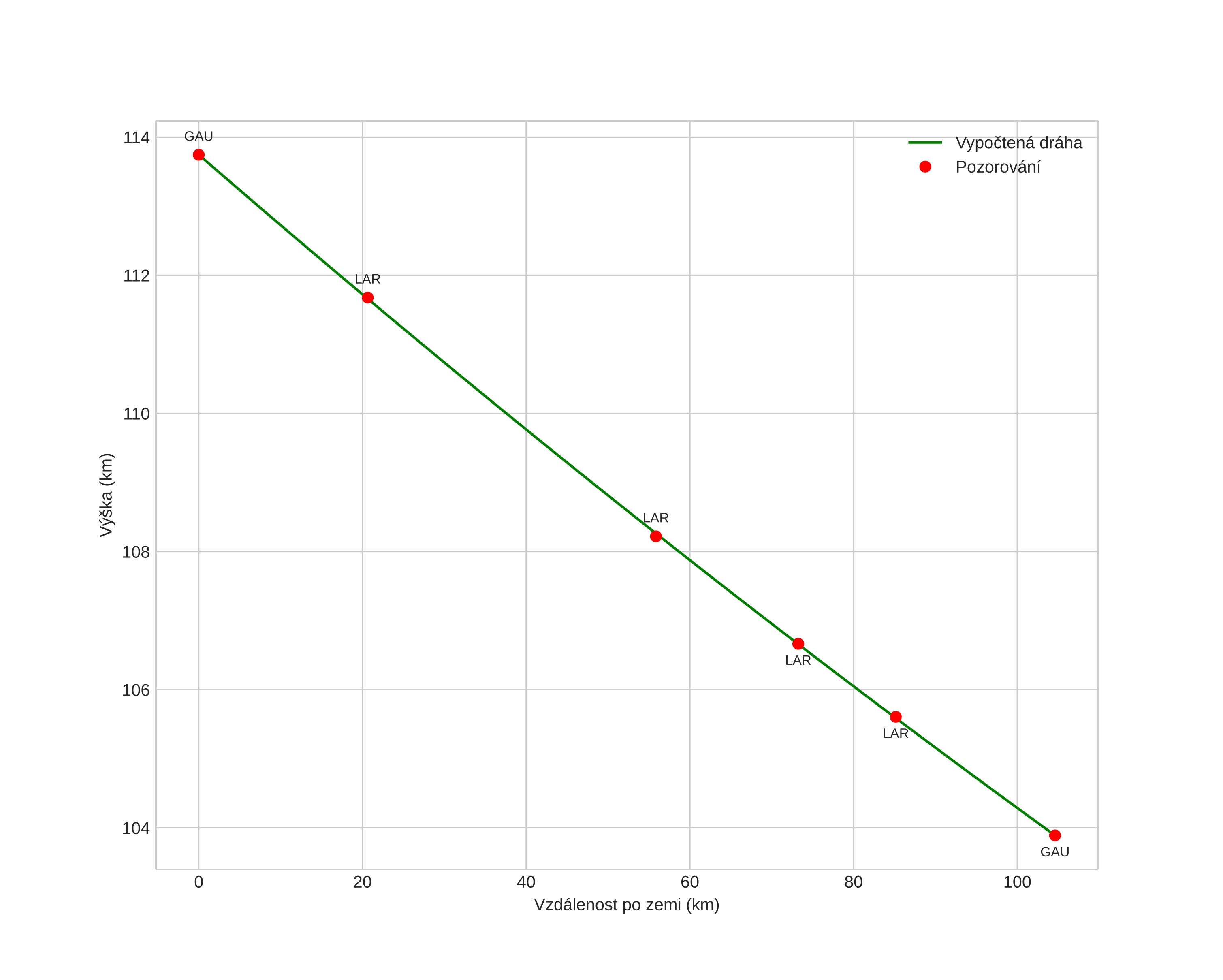
height profile
Atmosférická dráha meteoru:
Počáteční výška: 114,0 km
Konečná výška: 103,6 km
Počáteční poloha: 59,467N 10,966E
Konečná poloha: 60,407N 10,886E
Směr: 357,6°
Sklon: 5,7°
VstupnĂ­ rychlost: 57,4 km/s
Rektascenze radiantu: 10:05 (151,4°)
Deklinace radiantu: -25,7°
MeteorickĂ˝ roj: sporadickĂ˝
Elementy dráhy meteoroidu:
Vzdálenost v periheliu: 0,579 AU
Excentricita: 1,021
Sklon dráhy: 101,9°
Délka vzestupného uzlu: 111,0°
Argument perihelia: 79,3°
Střední anomálie: -0,3°
Epocha: 2024 JAN 12 01:49:13
orbit plot

NeinteraktivnĂ­ graf | InteraktivnĂ­ graf

position vs time
speed and acceleration