🇳🇴 🇬🇧 🇩🇪 🇨🇿 🇫🇮

Meteor Hurdalin yllä 2024-01-12 01:49:13 UTC

KML-tiedosto  |  Interaktiivinen kartta

Kartta näyttää meteorin suuntahavainnot. Vaaleammat viivat näyttävät suunnat havaintoasemilta meteorin ilmestyessä, ja tummemmat viivat näyttävät, missä se viimeksi nähtiin. Sininen nuoli näyttää meteorin näkyvän lennon.

static map
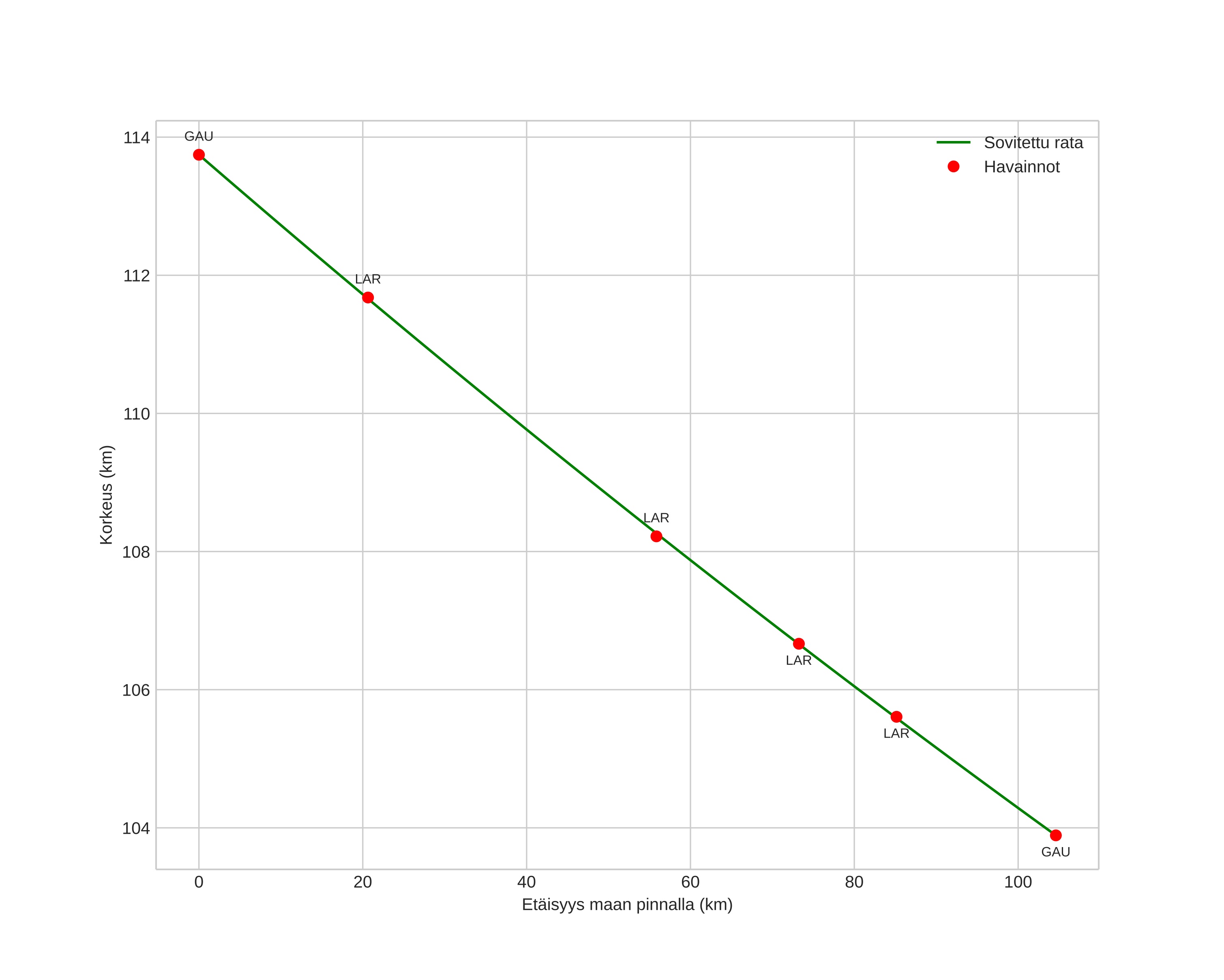
height profile
Meteorin ilmakehärata:
Alkukorkeus: 114,0 km
Loppukorkeus: 103,6 km
Alkupiste: 59,467N 10,966E
Loppupiste: 60,407N 10,886E
Suunta: 357,6°
Kallistuskulma: 5,7°
Tulonopeus: 57,4 km/s
Radiantin R,A,: 10:05 (151,4°)
Radiantin Dekl,: -25,7°
Meteoriparvi: Sporadinen
Meteoroidin rataelementit:
Perihelietäisyys: 0,579 AU
Eksentrisyys: 1,021
Inklinaatio: 101,9°
Nousevan solmun pituus: 111,0°
Perihelin argumentti: 79,3°
Keskianomalia: -0,3°
Epookki: 2024 JAN 12 01:49:13
orbit plot

Ei-interaktiivinen kuvaaja | Interaktiivinen kuvaaja

position vs time
speed and acceleration