🇳🇴 🇬🇧 🇩🇪 🇨🇿 🇫🇮

Meteor, poloha: Moen 2024-01-14 15:50:12 UTC

Soubor KML  |  InteraktivnĂ­ mapa

Mapa zobrazuje dráhy meteoru. Světlejší čáry ukazují směry od pozorovacích stanic při objevení se meteoru a tmavší čáry, kde byl naposledy viděn. Modrá šipka značí viditelnou dráhu meteoru.

static map
height profile
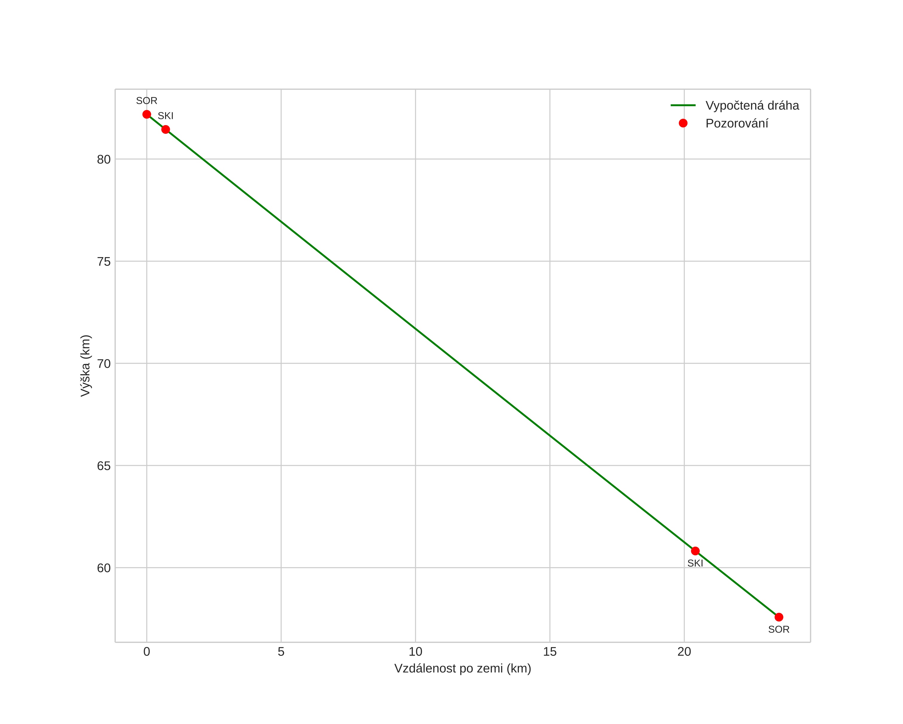
Atmosférická dráha meteoru:
Počáteční výška: 81,9 km
Konečná výška: 58,7 km
Počáteční poloha: 69,222N 19,311E
Konečná poloha: 69,308N 18,781E
Směr: 294,9°
Sklon: 45,3°
VstupnĂ­ rychlost: 15,9 km/s
Rektascenze radiantu: 04:12 (63,2°)
Deklinace radiantu: 26,9°
MeteorickĂ˝ roj: sporadickĂ˝
Elementy dráhy meteoroidu:
Vzdálenost v periheliu: 0,941 AU
Excentricita: 0,720
Sklon dráhy: 1,6°
Délka vzestupného uzlu: 293,5°
Argument perihelia: 206,4°
Střední anomálie: 356,9°
Epocha: 2024 JAN 14 15:50:12
orbit plot

NeinteraktivnĂ­ graf | InteraktivnĂ­ graf

position vs time
speed and acceleration