🇳🇴 🇬🇧 🇩🇪 🇨🇿 🇫🇮

Meteor Moenin yllä 2024-01-14 15:50:12 UTC

KML-tiedosto  |  Interaktiivinen kartta

Kartta näyttää meteorin suuntahavainnot. Vaaleammat viivat näyttävät suunnat havaintoasemilta meteorin ilmestyessä, ja tummemmat viivat näyttävät, missä se viimeksi nähtiin. Sininen nuoli näyttää meteorin näkyvän lennon.

static map
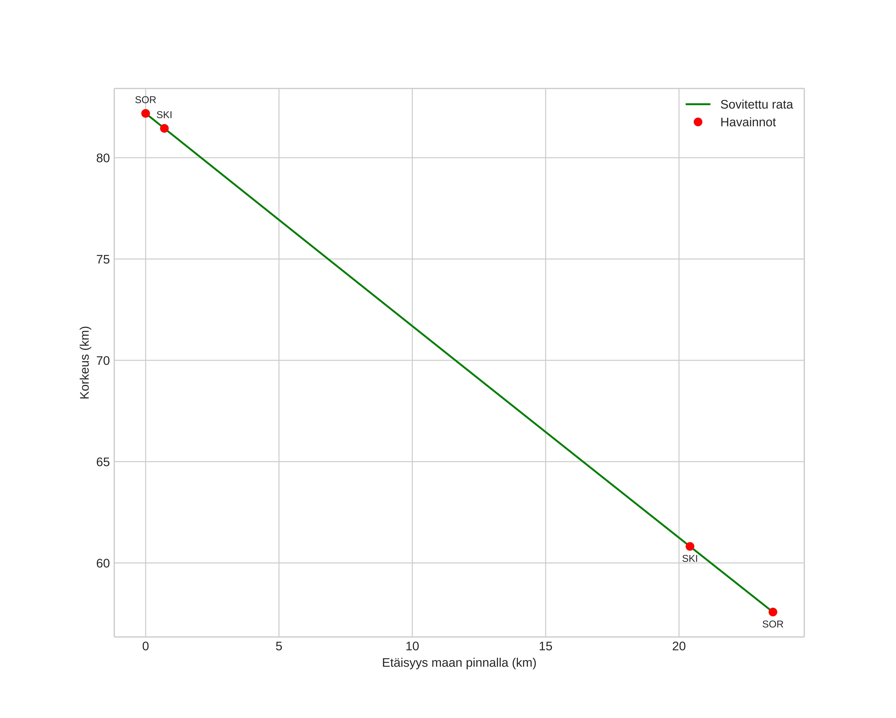
height profile
Meteorin ilmakehärata:
Alkukorkeus: 81,9 km
Loppukorkeus: 58,7 km
Alkupiste: 69,222N 19,311E
Loppupiste: 69,308N 18,781E
Suunta: 294,9°
Kallistuskulma: 45,3°
Tulonopeus: 15,9 km/s
Radiantin R,A,: 04:12 (63,2°)
Radiantin Dekl,: 26,9°
Meteoriparvi: Sporadinen
Meteoroidin rataelementit:
Perihelietäisyys: 0,941 AU
Eksentrisyys: 0,720
Inklinaatio: 1,6°
Nousevan solmun pituus: 293,5°
Perihelin argumentti: 206,4°
Keskianomalia: 356,9°
Epookki: 2024 JAN 14 15:50:12
orbit plot

Ei-interaktiivinen kuvaaja | Interaktiivinen kuvaaja

position vs time
speed and acceleration