🇳🇴 🇬🇧 🇩🇪 🇨🇿 🇫🇮

Meteor, poloha: Olderdalen 2024-01-17 01:59:01 UTC

Soubor KML  |  InteraktivnĂ­ mapa

Mapa zobrazuje dráhy meteoru. Světlejší čáry ukazují směry od pozorovacích stanic při objevení se meteoru a tmavší čáry, kde byl naposledy viděn. Modrá šipka značí viditelnou dráhu meteoru.

static map
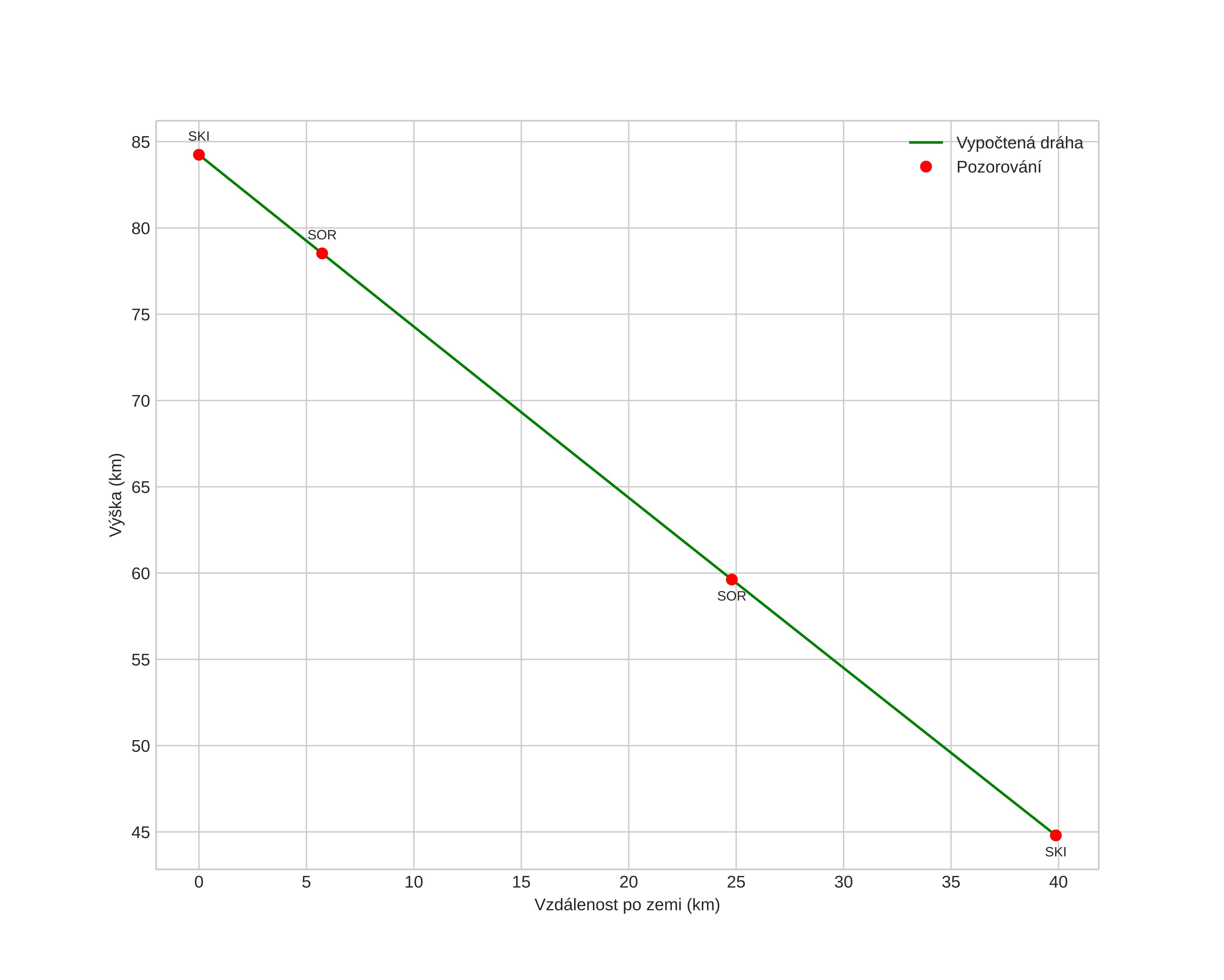
height profile
Atmosférická dráha meteoru:
Počáteční výška: 84,2 km
Konečná výška: 44,8 km
Počáteční poloha: 68,794N 19,920E
Konečná poloha: 68,849N 20,900E
Směr: 80,6°
Sklon: 44,7°
VstupnĂ­ rychlost: 18,9 km/s
Rektascenze radiantu: 06:38 (99,6°)
Deklinace radiantu: 33,1°
MeteorickĂ˝ roj: sporadickĂ˝
Elementy dráhy meteoroidu:
Vzdálenost v periheliu: 0,804 AU
Excentricita: 0,669
Sklon dráhy: 4,4°
Délka vzestupného uzlu: 296,1°
Argument perihelia: 237,0°
Střední anomálie: 350,3°
Epocha: 2024 JAN 17 01:59:01
orbit plot

NeinteraktivnĂ­ graf | InteraktivnĂ­ graf

position vs time
speed and acceleration