🇳🇴 🇬🇧 🇩🇪 🇨🇿 🇫🇮

Meteor Olderdalenin yllä 2024-01-17 01:59:01 UTC

KML-tiedosto  |  Interaktiivinen kartta

Kartta näyttää meteorin suuntahavainnot. Vaaleammat viivat näyttävät suunnat havaintoasemilta meteorin ilmestyessä, ja tummemmat viivat näyttävät, missä se viimeksi nähtiin. Sininen nuoli näyttää meteorin näkyvän lennon.

static map
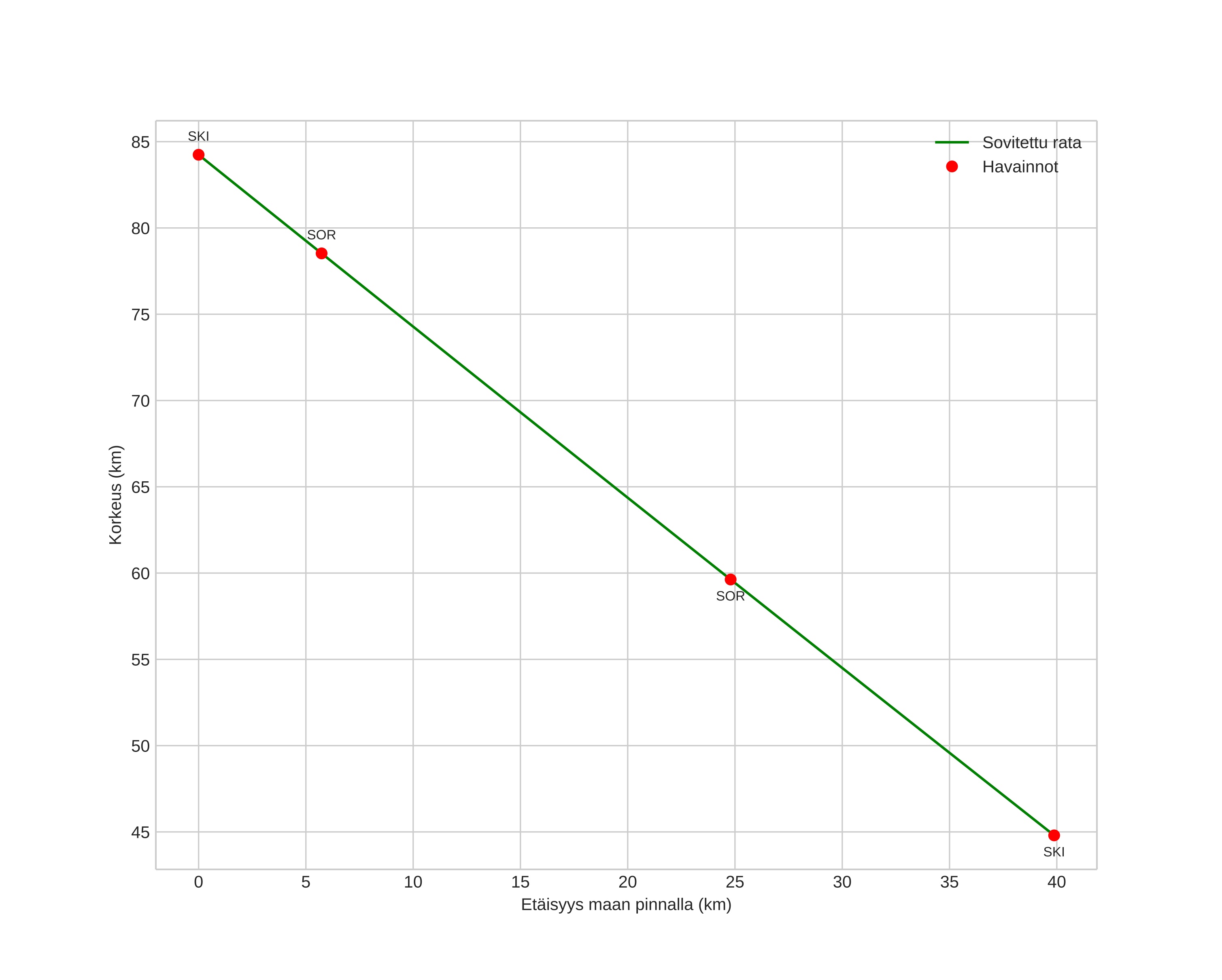
height profile
Meteorin ilmakehärata:
Alkukorkeus: 84,2 km
Loppukorkeus: 44,8 km
Alkupiste: 68,794N 19,920E
Loppupiste: 68,849N 20,900E
Suunta: 80,6°
Kallistuskulma: 44,7°
Tulonopeus: 18,9 km/s
Radiantin R,A,: 06:38 (99,6°)
Radiantin Dekl,: 33,1°
Meteoriparvi: Sporadinen
Meteoroidin rataelementit:
Perihelietäisyys: 0,804 AU
Eksentrisyys: 0,669
Inklinaatio: 4,4°
Nousevan solmun pituus: 296,1°
Perihelin argumentti: 237,0°
Keskianomalia: 350,3°
Epookki: 2024 JAN 17 01:59:01
orbit plot

Ei-interaktiivinen kuvaaja | Interaktiivinen kuvaaja

position vs time
speed and acceleration