🇳🇴 🇬🇧 🇩🇪 🇨🇿 🇫🇮

Meteor, poloha: Moen 2024-01-18 01:40:13 UTC

Soubor KML  |  InteraktivnĂ­ mapa

Mapa zobrazuje dráhy meteoru. Světlejší čáry ukazují směry od pozorovacích stanic při objevení se meteoru a tmavší čáry, kde byl naposledy viděn. Modrá šipka značí viditelnou dráhu meteoru.

static map
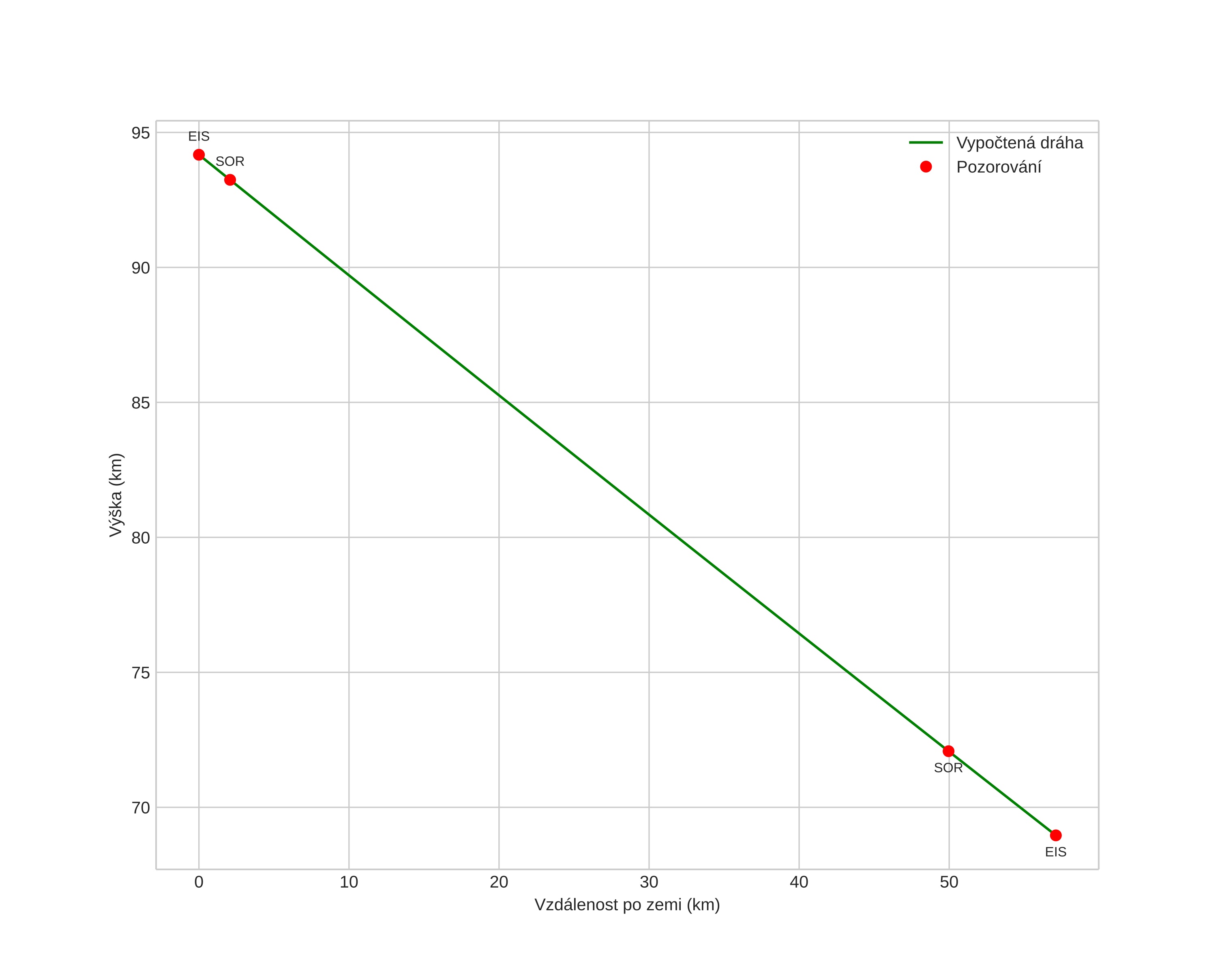
height profile
Atmosférická dráha meteoru:
Počáteční výška: 95,0 km
Konečná výška: 69,0 km
Počáteční poloha: 68,803N 17,790E
Konečná poloha: 69,261N 18,572E
Směr: 31,1°
Sklon: 23,6°
VstupnĂ­ rychlost: 36,3 km/s
Rektascenze radiantu: 08:41 (130,5°)
Deklinace radiantu: 3,4°
MeteorickĂ˝ roj: sporadickĂ˝
Elementy dráhy meteoroidu:
Vzdálenost v periheliu: 0,307 AU
Excentricita: 0,926
Sklon dráhy: 21,7°
Délka vzestupného uzlu: 117,1°
Argument perihelia: 115,5°
Střední anomálie: 355,5°
Epocha: 2024 JAN 18 01:40:13
orbit plot

NeinteraktivnĂ­ graf | InteraktivnĂ­ graf

position vs time
speed and acceleration