🇳🇴 🇬🇧 🇩🇪 🇨🇿 🇫🇮

Meteor Moenin yllä 2024-01-18 01:40:13 UTC

KML-tiedosto  |  Interaktiivinen kartta

Kartta näyttää meteorin suuntahavainnot. Vaaleammat viivat näyttävät suunnat havaintoasemilta meteorin ilmestyessä, ja tummemmat viivat näyttävät, missä se viimeksi nähtiin. Sininen nuoli näyttää meteorin näkyvän lennon.

static map
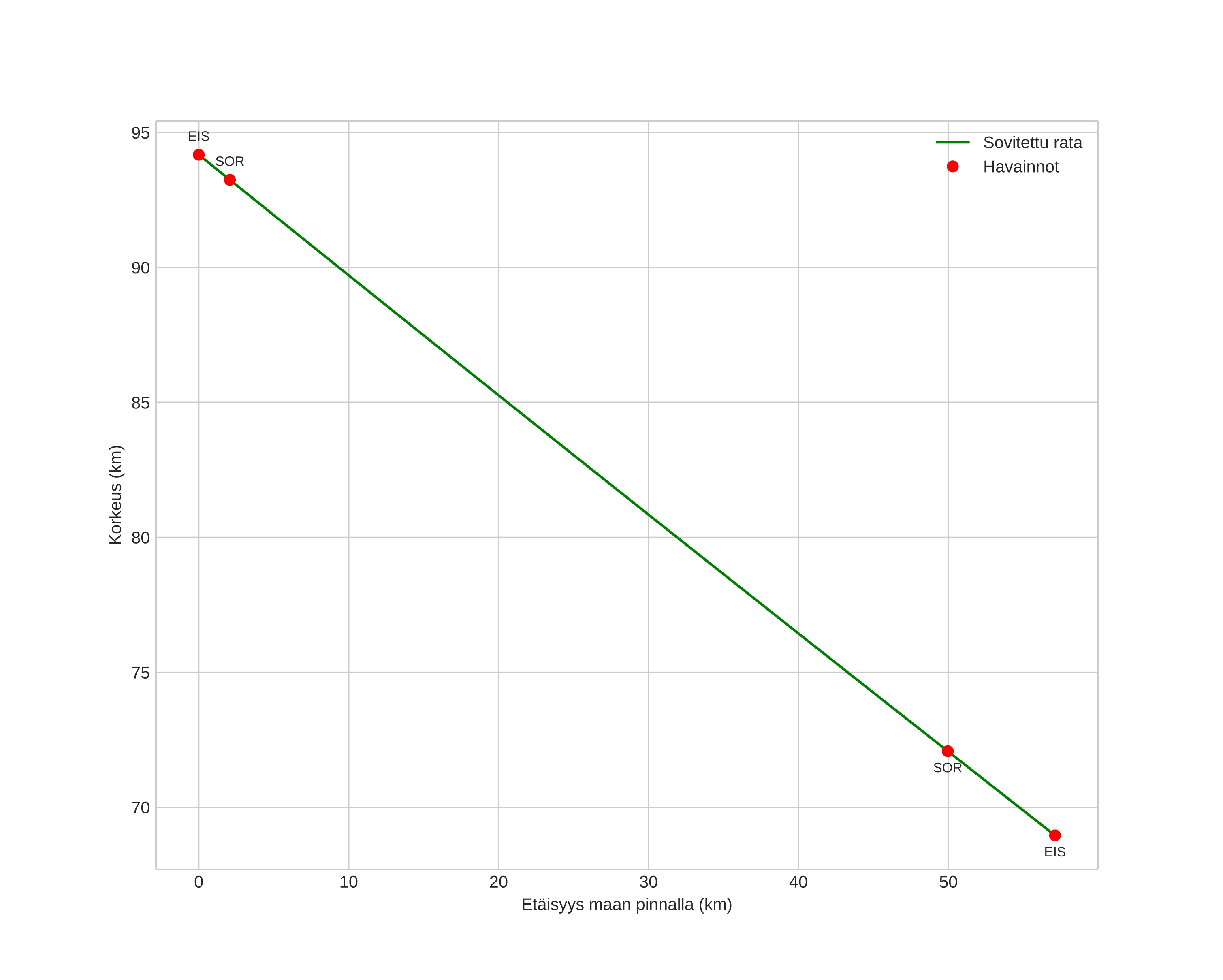
height profile
Meteorin ilmakehärata:
Alkukorkeus: 95,0 km
Loppukorkeus: 69,0 km
Alkupiste: 68,803N 17,790E
Loppupiste: 69,261N 18,572E
Suunta: 31,1°
Kallistuskulma: 23,6°
Tulonopeus: 36,3 km/s
Radiantin R,A,: 08:41 (130,5°)
Radiantin Dekl,: 3,4°
Meteoriparvi: Sporadinen
Meteoroidin rataelementit:
Perihelietäisyys: 0,307 AU
Eksentrisyys: 0,926
Inklinaatio: 21,7°
Nousevan solmun pituus: 117,1°
Perihelin argumentti: 115,5°
Keskianomalia: 355,5°
Epookki: 2024 JAN 18 01:40:13
orbit plot

Ei-interaktiivinen kuvaaja | Interaktiivinen kuvaaja

position vs time
speed and acceleration