🇳🇴 🇬🇧 🇩🇪 🇨🇿 🇫🇮

Meteor, poloha: Kittilä 2024-01-19 00:36:44 UTC

Soubor KML  |  InteraktivnĂ­ mapa

Mapa zobrazuje dráhy meteoru. Světlejší čáry ukazují směry od pozorovacích stanic při objevení se meteoru a tmavší čáry, kde byl naposledy viděn. Modrá šipka značí viditelnou dráhu meteoru.

static map
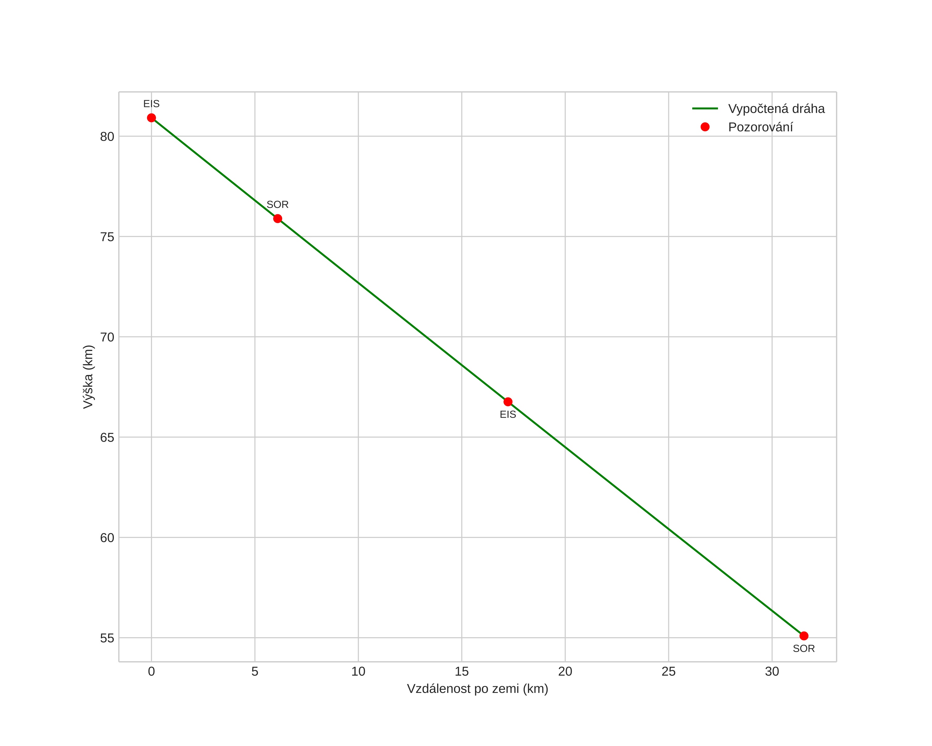
height profile
Atmosférická dráha meteoru:
Počáteční výška: 81,7 km
Konečná výška: 50,8 km
Počáteční poloha: 67,356N 24,668E
Konečná poloha: 67,752N 24,600E
Směr: 356,3°
Sklon: 35,0°
VstupnĂ­ rychlost: 43,0 km/s
Rektascenze radiantu: 10:17 (154,3°)
Deklinace radiantu: 11,5°
MeteorickĂ˝ roj: sporadickĂ˝
Elementy dráhy meteoroidu:
Vzdálenost v periheliu: 0,028 AU
Excentricita: 0,982
Sklon dráhy: 4,5°
Délka vzestupného uzlu: 298,0°
Argument perihelia: 344,0°
Střední anomálie: 343,9°
Epocha: 2024 JAN 19 00:36:44
orbit plot

NeinteraktivnĂ­ graf | InteraktivnĂ­ graf

position vs time
speed and acceleration