🇳🇴 🇬🇧 🇩🇪 🇨🇿 🇫🇮

Meteor Kittiläin yllä 2024-01-19 00:36:44 UTC

KML-tiedosto  |  Interaktiivinen kartta

Kartta näyttää meteorin suuntahavainnot. Vaaleammat viivat näyttävät suunnat havaintoasemilta meteorin ilmestyessä, ja tummemmat viivat näyttävät, missä se viimeksi nähtiin. Sininen nuoli näyttää meteorin näkyvän lennon.

static map
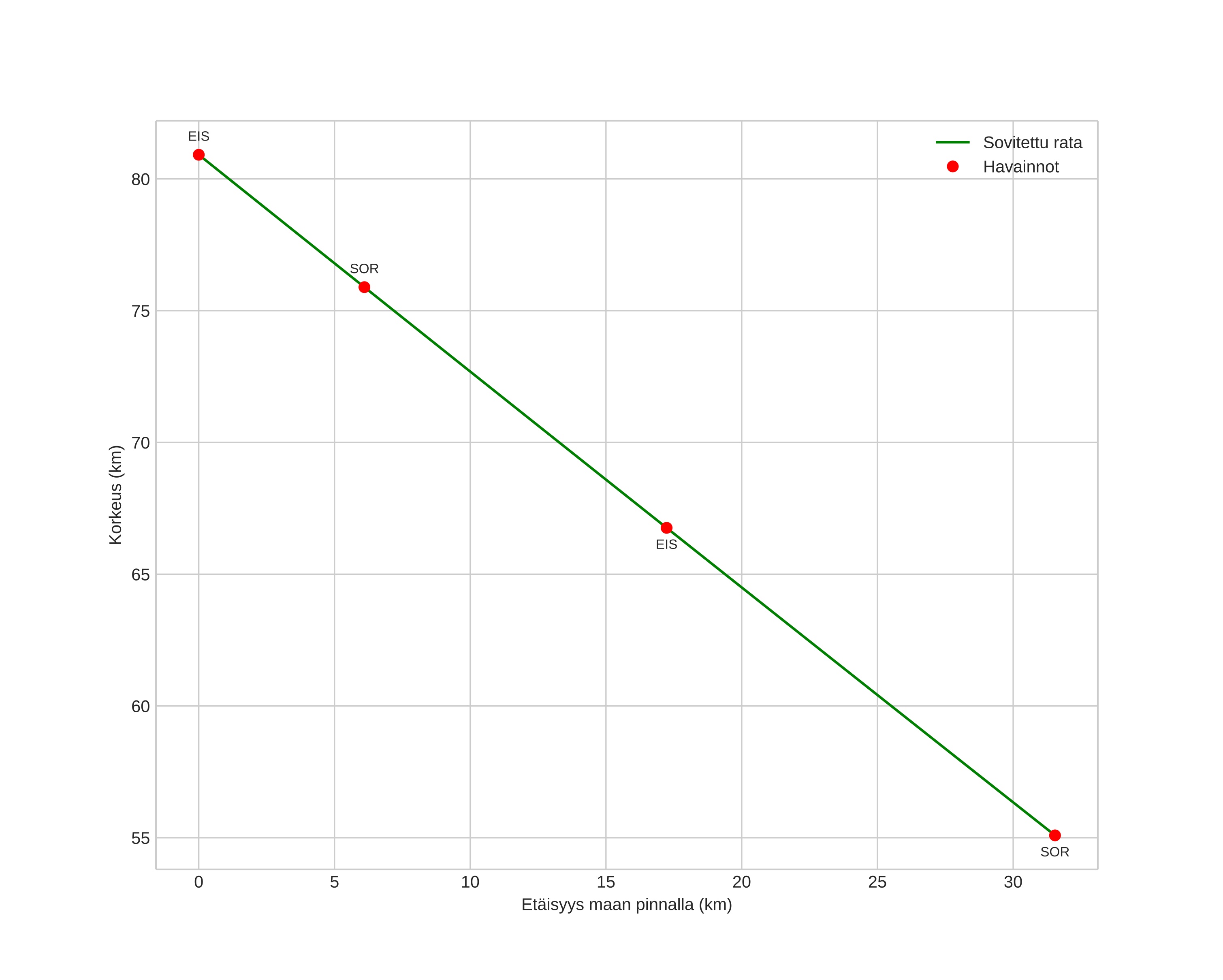
height profile
Meteorin ilmakehärata:
Alkukorkeus: 81,7 km
Loppukorkeus: 50,8 km
Alkupiste: 67,356N 24,668E
Loppupiste: 67,752N 24,600E
Suunta: 356,3°
Kallistuskulma: 35,0°
Tulonopeus: 43,0 km/s
Radiantin R,A,: 10:17 (154,3°)
Radiantin Dekl,: 11,5°
Meteoriparvi: Sporadinen
Meteoroidin rataelementit:
Perihelietäisyys: 0,028 AU
Eksentrisyys: 0,982
Inklinaatio: 4,5°
Nousevan solmun pituus: 298,0°
Perihelin argumentti: 344,0°
Keskianomalia: 343,9°
Epookki: 2024 JAN 19 00:36:44
orbit plot

Ei-interaktiivinen kuvaaja | Interaktiivinen kuvaaja

position vs time
speed and acceleration