🇳🇴 🇬🇧 🇩🇪 🇨🇿 🇫🇮

Meteor, poloha: Hansnes 2024-01-19 18:38:13 UTC

Soubor KML  |  InteraktivnĂ­ mapa

Mapa zobrazuje dráhy meteoru. Světlejší čáry ukazují směry od pozorovacích stanic při objevení se meteoru a tmavší čáry, kde byl naposledy viděn. Modrá šipka značí viditelnou dráhu meteoru.

static map
height profile
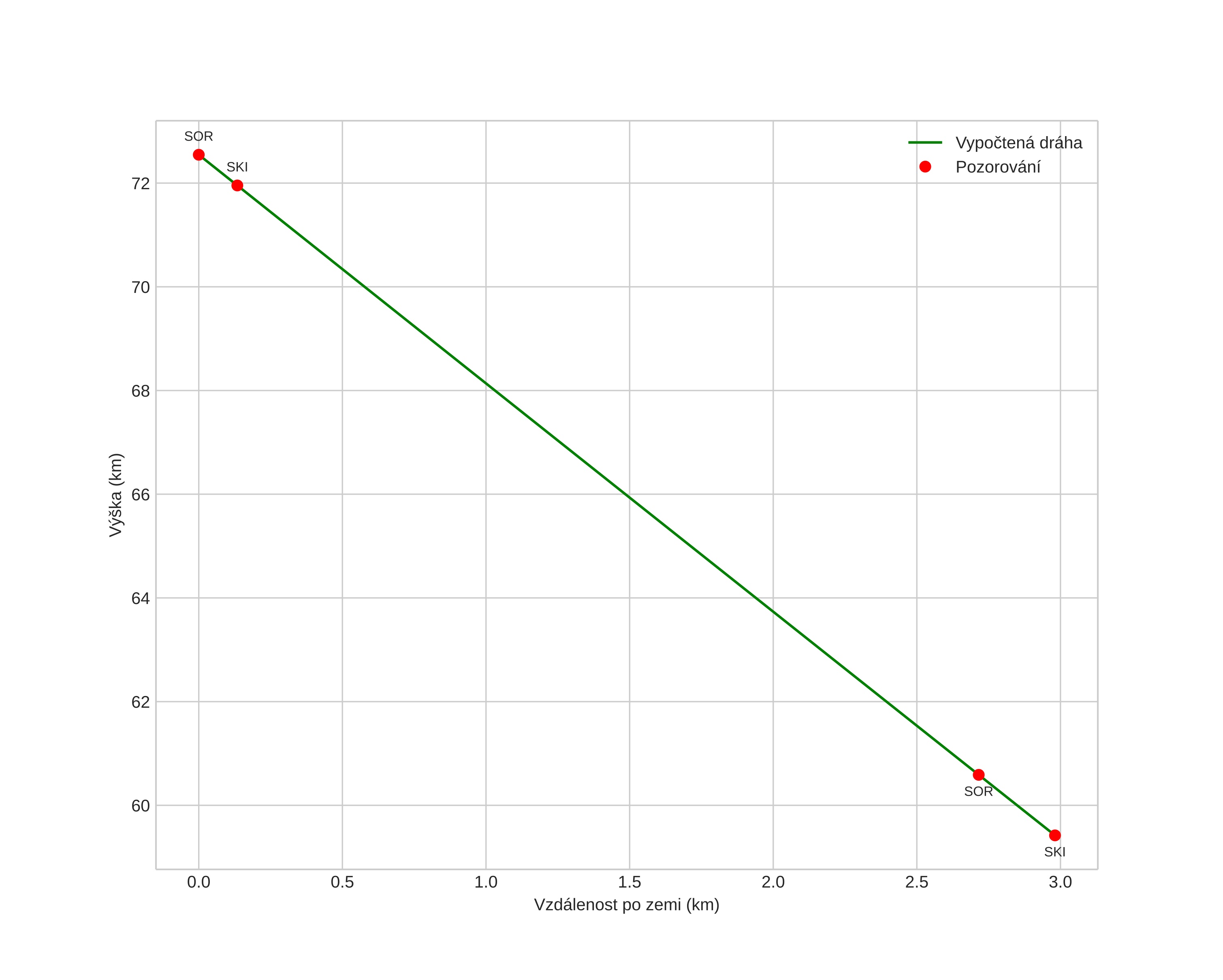
Atmosférická dráha meteoru:
Počáteční výška: 73,1 km
Konečná výška: 59,2 km
Počáteční poloha: 70,320N 20,082E
Konečná poloha: 70,299N 20,122E
Směr: 146,9°
Sklon: 78,6°
VstupnĂ­ rychlost: 18,3 km/s
Rektascenze radiantu: 01:13 (18,4°)
Deklinace radiantu: 78,1°
MeteorickĂ˝ roj: sporadickĂ˝
Elementy dráhy meteoroidu:
Vzdálenost v periheliu: 0,968 AU
Excentricita: 0,638
Sklon dráhy: 19,5°
Délka vzestupného uzlu: 298,8°
Argument perihelia: 196,3°
Střední anomálie: 357,2°
Epocha: 2024 JAN 19 18:38:13
orbit plot

NeinteraktivnĂ­ graf | InteraktivnĂ­ graf

position vs time
speed and acceleration