🇳🇴 🇬🇧 🇩🇪 🇨🇿 🇫🇮

Meteor Hansnesin yllä 2024-01-19 18:38:13 UTC

KML-tiedosto  |  Interaktiivinen kartta

Kartta näyttää meteorin suuntahavainnot. Vaaleammat viivat näyttävät suunnat havaintoasemilta meteorin ilmestyessä, ja tummemmat viivat näyttävät, missä se viimeksi nähtiin. Sininen nuoli näyttää meteorin näkyvän lennon.

static map
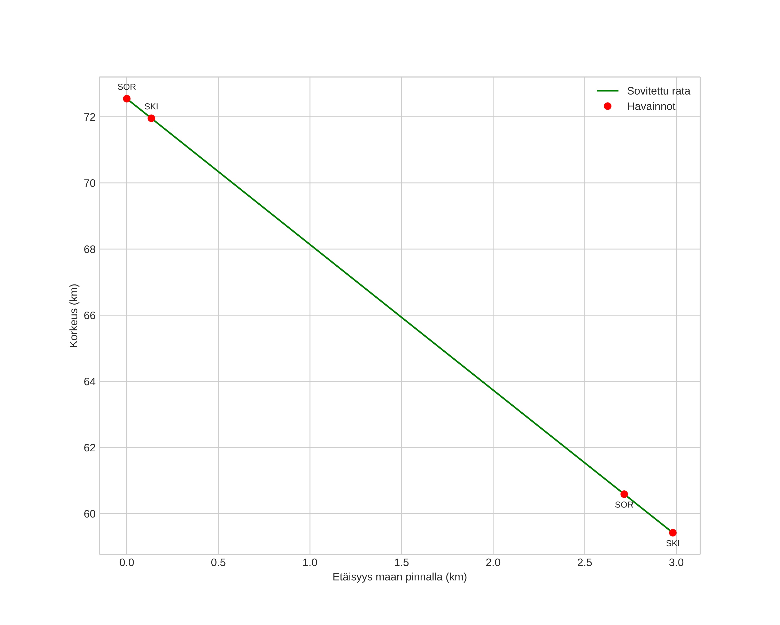
height profile
Meteorin ilmakehärata:
Alkukorkeus: 73,1 km
Loppukorkeus: 59,2 km
Alkupiste: 70,320N 20,082E
Loppupiste: 70,299N 20,122E
Suunta: 146,9°
Kallistuskulma: 78,6°
Tulonopeus: 18,3 km/s
Radiantin R,A,: 01:13 (18,4°)
Radiantin Dekl,: 78,1°
Meteoriparvi: Sporadinen
Meteoroidin rataelementit:
Perihelietäisyys: 0,968 AU
Eksentrisyys: 0,638
Inklinaatio: 19,5°
Nousevan solmun pituus: 298,8°
Perihelin argumentti: 196,3°
Keskianomalia: 357,2°
Epookki: 2024 JAN 19 18:38:13
orbit plot

Ei-interaktiivinen kuvaaja | Interaktiivinen kuvaaja

position vs time
speed and acceleration