🇳🇴 🇬🇧 🇩🇪 🇨🇿 🇫🇮

Meteor, poloha: Lyngseidet 2024-01-19 19:07:07 UTC

Soubor KML  |  InteraktivnĂ­ mapa

Mapa zobrazuje dráhy meteoru. Světlejší čáry ukazují směry od pozorovacích stanic při objevení se meteoru a tmavší čáry, kde byl naposledy viděn. Modrá šipka značí viditelnou dráhu meteoru.

static map
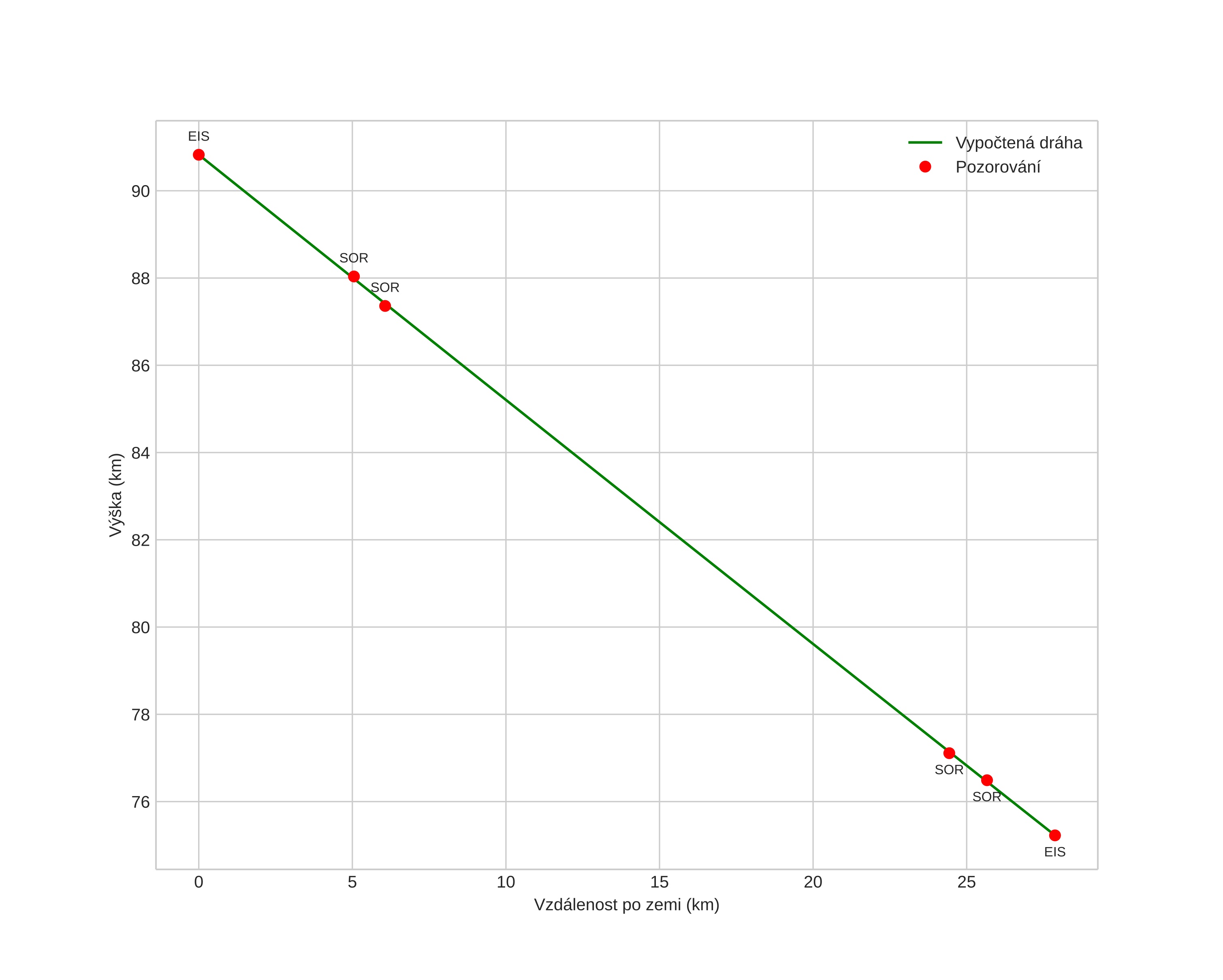
height profile
Atmosférická dráha meteoru:
Počáteční výška: 91,1 km
Konečná výška: 73,8 km
Počáteční poloha: 69,538N 20,930E
Konečná poloha: 69,580N 20,131E
Směr: 279,0°
Sklon: 28,9°
VstupnĂ­ rychlost: 32,1 km/s
Rektascenze radiantu: 09:11 (137,8°)
Deklinace radiantu: 22,1°
MeteorickĂ˝ roj: sporadickĂ˝
Elementy dráhy meteoroidu:
Vzdálenost v periheliu: 0,309 AU
Excentricita: 0,842
Sklon dráhy: 7,3°
Délka vzestupného uzlu: 298,8°
Argument perihelia: 300,0°
Střední anomálie: 345,1°
Epocha: 2024 JAN 19 19:07:07
orbit plot

NeinteraktivnĂ­ graf | InteraktivnĂ­ graf

position vs time
speed and acceleration