🇳🇴 🇬🇧 🇩🇪 🇨🇿 🇫🇮

Meteor Lyngseidetin yllä 2024-01-19 19:07:07 UTC

KML-tiedosto  |  Interaktiivinen kartta

Kartta näyttää meteorin suuntahavainnot. Vaaleammat viivat näyttävät suunnat havaintoasemilta meteorin ilmestyessä, ja tummemmat viivat näyttävät, missä se viimeksi nähtiin. Sininen nuoli näyttää meteorin näkyvän lennon.

static map
height profile
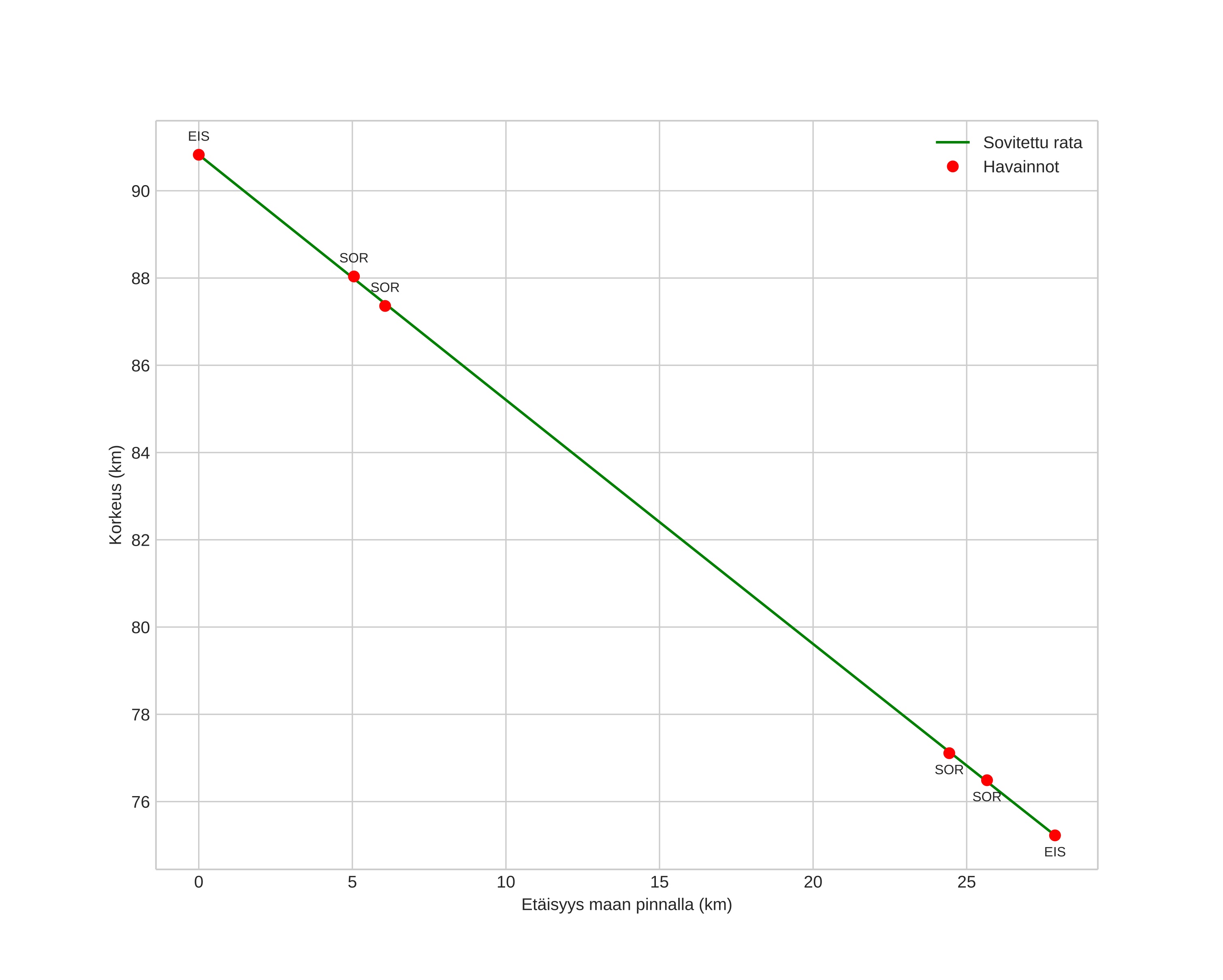
Meteorin ilmakehärata:
Alkukorkeus: 91,1 km
Loppukorkeus: 73,8 km
Alkupiste: 69,538N 20,930E
Loppupiste: 69,580N 20,131E
Suunta: 279,0°
Kallistuskulma: 28,9°
Tulonopeus: 32,1 km/s
Radiantin R,A,: 09:11 (137,8°)
Radiantin Dekl,: 22,1°
Meteoriparvi: Sporadinen
Meteoroidin rataelementit:
Perihelietäisyys: 0,309 AU
Eksentrisyys: 0,842
Inklinaatio: 7,3°
Nousevan solmun pituus: 298,8°
Perihelin argumentti: 300,0°
Keskianomalia: 345,1°
Epookki: 2024 JAN 19 19:07:07
orbit plot

Ei-interaktiivinen kuvaaja | Interaktiivinen kuvaaja

position vs time
speed and acceleration