🇳🇴 🇬🇧 🇩🇪 🇨🇿 🇫🇮

Meteor, poloha: Nørre Bindslev 2024-01-20 02:18:16 UTC

Soubor KML  |  InteraktivnĂ­ mapa

Mapa zobrazuje dráhy meteoru. Světlejší čáry ukazují směry od pozorovacích stanic při objevení se meteoru a tmavší čáry, kde byl naposledy viděn. Modrá šipka značí viditelnou dráhu meteoru.

static map
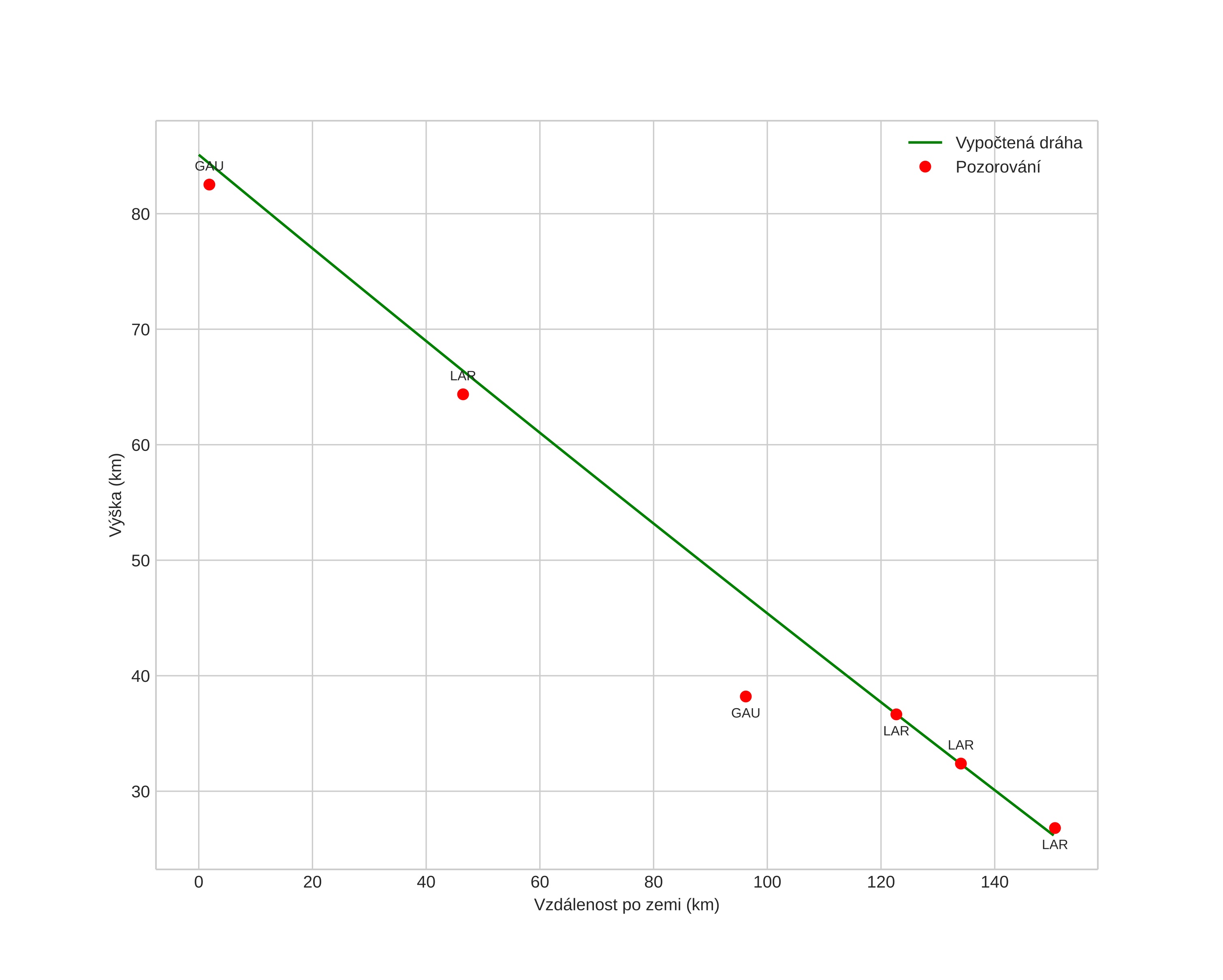
height profile
Atmosférická dráha meteoru:
Počáteční výška: 80,8 km
Konečná výška: 28,9 km
Počáteční poloha: 56,430N 9,878E
Konečná poloha: 57,599N 10,094E
Směr: 5,6°
Sklon: 21,7°
VstupnĂ­ rychlost: 33,7 km/s
Rektascenze radiantu: 10:28 (157,1°)
Deklinace radiantu: -13,9°
MeteorickĂ˝ roj: sporadickĂ˝
Elementy dráhy meteoroidu:
Vzdálenost v periheliu: 0,135 AU
Excentricita: 0,826
Sklon dráhy: 51,6°
Délka vzestupného uzlu: 119,2°
Argument perihelia: 155,3°
Střední anomálie: 295,2°
Epocha: 2024 JAN 20 02:18:16
orbit plot

NeinteraktivnĂ­ graf | InteraktivnĂ­ graf

position vs time
speed and acceleration