🇳🇴 🇬🇧 🇩🇪 🇨🇿 🇫🇮

Meteor Nørre Bindslevin yllä 2024-01-20 02:18:16 UTC

KML-tiedosto  |  Interaktiivinen kartta

Kartta näyttää meteorin suuntahavainnot. Vaaleammat viivat näyttävät suunnat havaintoasemilta meteorin ilmestyessä, ja tummemmat viivat näyttävät, missä se viimeksi nähtiin. Sininen nuoli näyttää meteorin näkyvän lennon.

static map
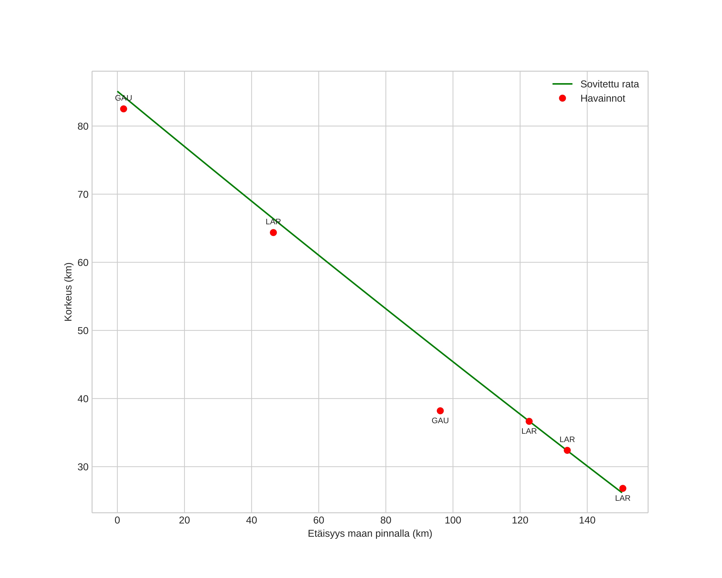
height profile
Meteorin ilmakehärata:
Alkukorkeus: 80,8 km
Loppukorkeus: 28,9 km
Alkupiste: 56,430N 9,878E
Loppupiste: 57,599N 10,094E
Suunta: 5,6°
Kallistuskulma: 21,7°
Tulonopeus: 33,7 km/s
Radiantin R,A,: 10:28 (157,1°)
Radiantin Dekl,: -13,9°
Meteoriparvi: Sporadinen
Meteoroidin rataelementit:
Perihelietäisyys: 0,135 AU
Eksentrisyys: 0,826
Inklinaatio: 51,6°
Nousevan solmun pituus: 119,2°
Perihelin argumentti: 155,3°
Keskianomalia: 295,2°
Epookki: 2024 JAN 20 02:18:16
orbit plot

Ei-interaktiivinen kuvaaja | Interaktiivinen kuvaaja

position vs time
speed and acceleration