🇳🇴 🇬🇧 🇩🇪 🇨🇿 🇫🇮

Meteor, poloha: Brøstadbotn 2024-01-21 03:57:13 UTC

Soubor KML  |  InteraktivnĂ­ mapa

Mapa zobrazuje dráhy meteoru. Světlejší čáry ukazují směry od pozorovacích stanic při objevení se meteoru a tmavší čáry, kde byl naposledy viděn. Modrá šipka značí viditelnou dráhu meteoru.

static map
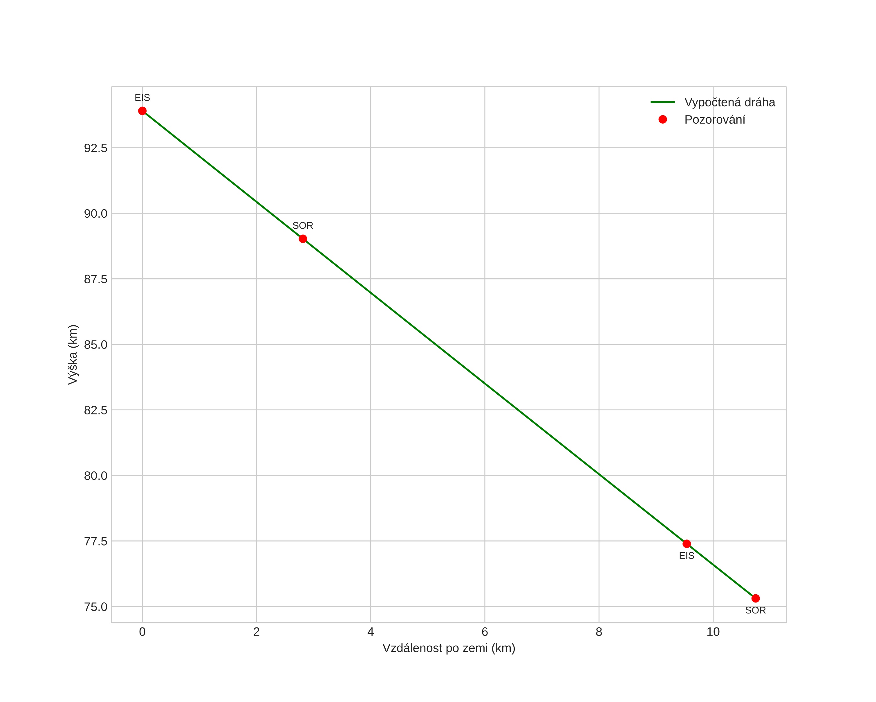
height profile
Atmosférická dráha meteoru:
Počáteční výška: 94,8 km
Konečná výška: 75,2 km
Počáteční poloha: 69,286N 17,389E
Konečná poloha: 69,212N 17,573E
Směr: 138,6°
Sklon: 60,8°
VstupnĂ­ rychlost: 20,7 km/s
Rektascenze radiantu: 06:21 (95,3°)
Deklinace radiantu: 68,8°
MeteorickĂ˝ roj: sporadickĂ˝
Elementy dráhy meteoroidu:
Vzdálenost v periheliu: 0,899 AU
Excentricita: 0,755
Sklon dráhy: 19,1°
Délka vzestupného uzlu: 300,2°
Argument perihelia: 216,9°
Střední anomálie: 356,4°
Epocha: 2024 JAN 21 03:57:13
orbit plot

NeinteraktivnĂ­ graf | InteraktivnĂ­ graf

position vs time
speed and acceleration