🇳🇴 🇬🇧 🇩🇪 🇨🇿 🇫🇮

Meteor Brøstadbotnin yllä 2024-01-21 03:57:13 UTC

KML-tiedosto  |  Interaktiivinen kartta

Kartta näyttää meteorin suuntahavainnot. Vaaleammat viivat näyttävät suunnat havaintoasemilta meteorin ilmestyessä, ja tummemmat viivat näyttävät, missä se viimeksi nähtiin. Sininen nuoli näyttää meteorin näkyvän lennon.

static map
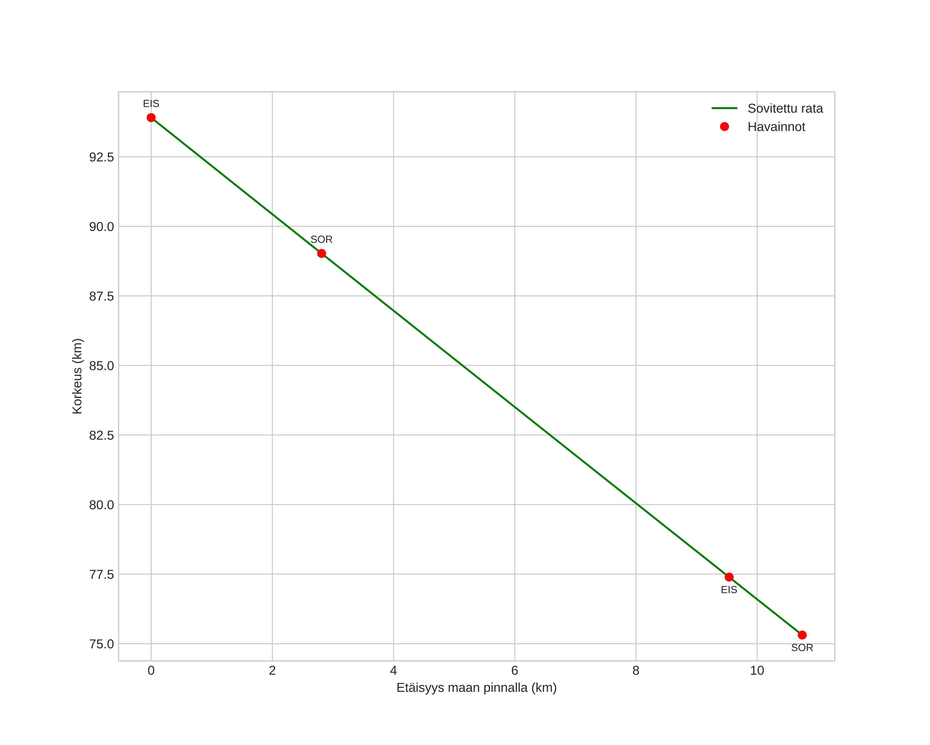
height profile
Meteorin ilmakehärata:
Alkukorkeus: 94,8 km
Loppukorkeus: 75,2 km
Alkupiste: 69,286N 17,389E
Loppupiste: 69,212N 17,573E
Suunta: 138,6°
Kallistuskulma: 60,8°
Tulonopeus: 20,7 km/s
Radiantin R,A,: 06:21 (95,3°)
Radiantin Dekl,: 68,8°
Meteoriparvi: Sporadinen
Meteoroidin rataelementit:
Perihelietäisyys: 0,899 AU
Eksentrisyys: 0,755
Inklinaatio: 19,1°
Nousevan solmun pituus: 300,2°
Perihelin argumentti: 216,9°
Keskianomalia: 356,4°
Epookki: 2024 JAN 21 03:57:13
orbit plot

Ei-interaktiivinen kuvaaja | Interaktiivinen kuvaaja

position vs time
speed and acceleration