🇳🇴 🇬🇧 🇩🇪 🇨🇿 🇫🇮

Meteor, poloha: Fyresdal 2024-01-23 00:22:53 UTC

Soubor KML  |  InteraktivnĂ­ mapa

Mapa zobrazuje dráhy meteoru. Světlejší čáry ukazují směry od pozorovacích stanic při objevení se meteoru a tmavší čáry, kde byl naposledy viděn. Modrá šipka značí viditelnou dráhu meteoru.

static map
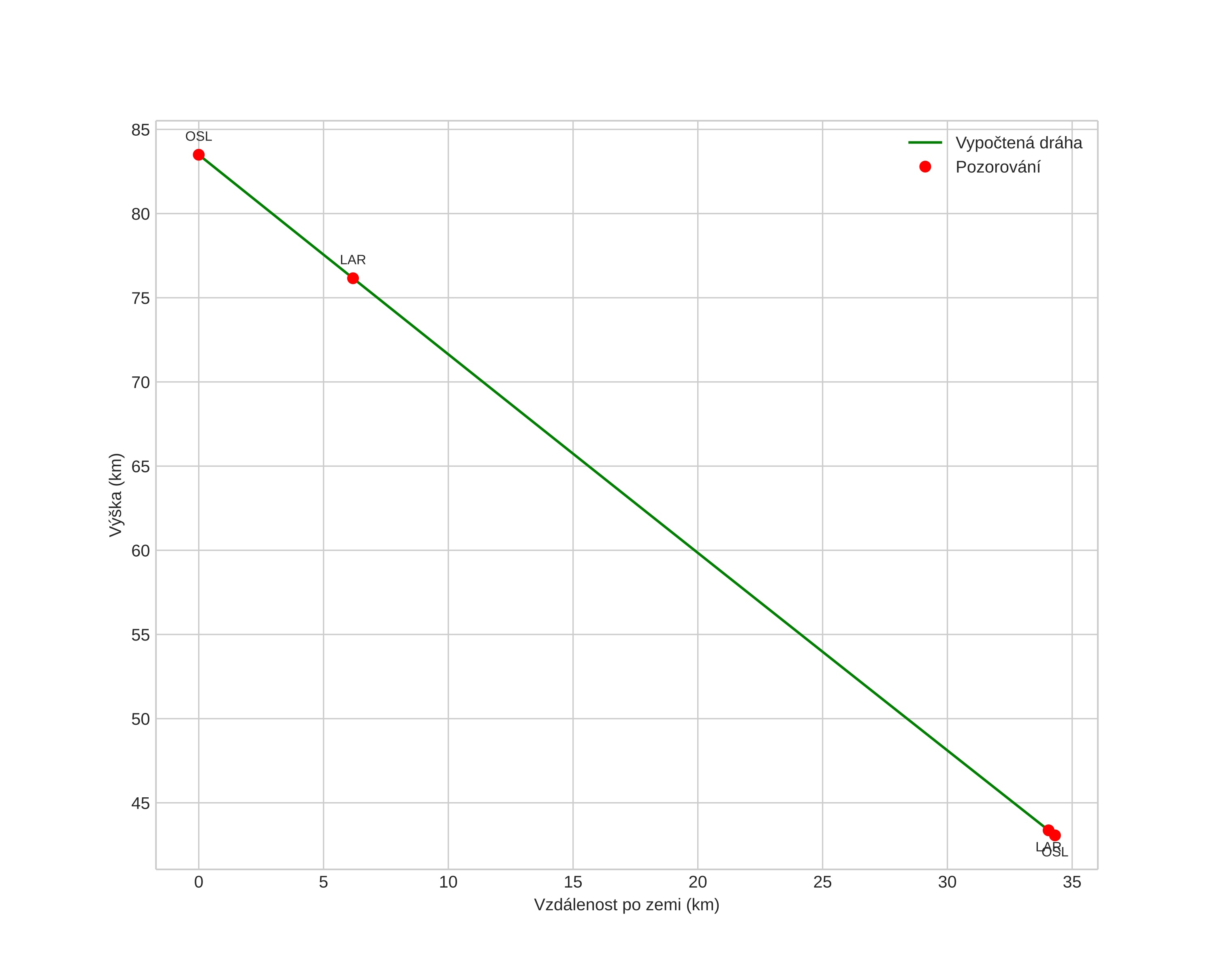
height profile
Atmosférická dráha meteoru:
Počáteční výška: 83,6 km
Konečná výška: 43,1 km
Počáteční poloha: 59,062N 7,646E
Konečná poloha: 59,236N 8,144E
Směr: 55,5°
Sklon: 49,7°
VstupnĂ­ rychlost: 18,2 km/s
Rektascenze radiantu: 06:18 (94,6°)
Deklinace radiantu: 23,2°
MeteorickĂ˝ roj: sporadickĂ˝
Elementy dráhy meteoroidu:
Vzdálenost v periheliu: 0,862 AU
Excentricita: 0,742
Sklon dráhy: 0,1°
Délka vzestupného uzlu: 124,3°
Argument perihelia: 42,7°
Střední anomálie: 355,1°
Epocha: 2024 JAN 23 00:22:53
orbit plot

NeinteraktivnĂ­ graf | InteraktivnĂ­ graf

position vs time
speed and acceleration