🇳🇴 🇬🇧 🇩🇪 🇨🇿 🇫🇮

Meteor Fyresdalin yllä 2024-01-23 00:22:53 UTC

KML-tiedosto  |  Interaktiivinen kartta

Kartta näyttää meteorin suuntahavainnot. Vaaleammat viivat näyttävät suunnat havaintoasemilta meteorin ilmestyessä, ja tummemmat viivat näyttävät, missä se viimeksi nähtiin. Sininen nuoli näyttää meteorin näkyvän lennon.

static map
height profile
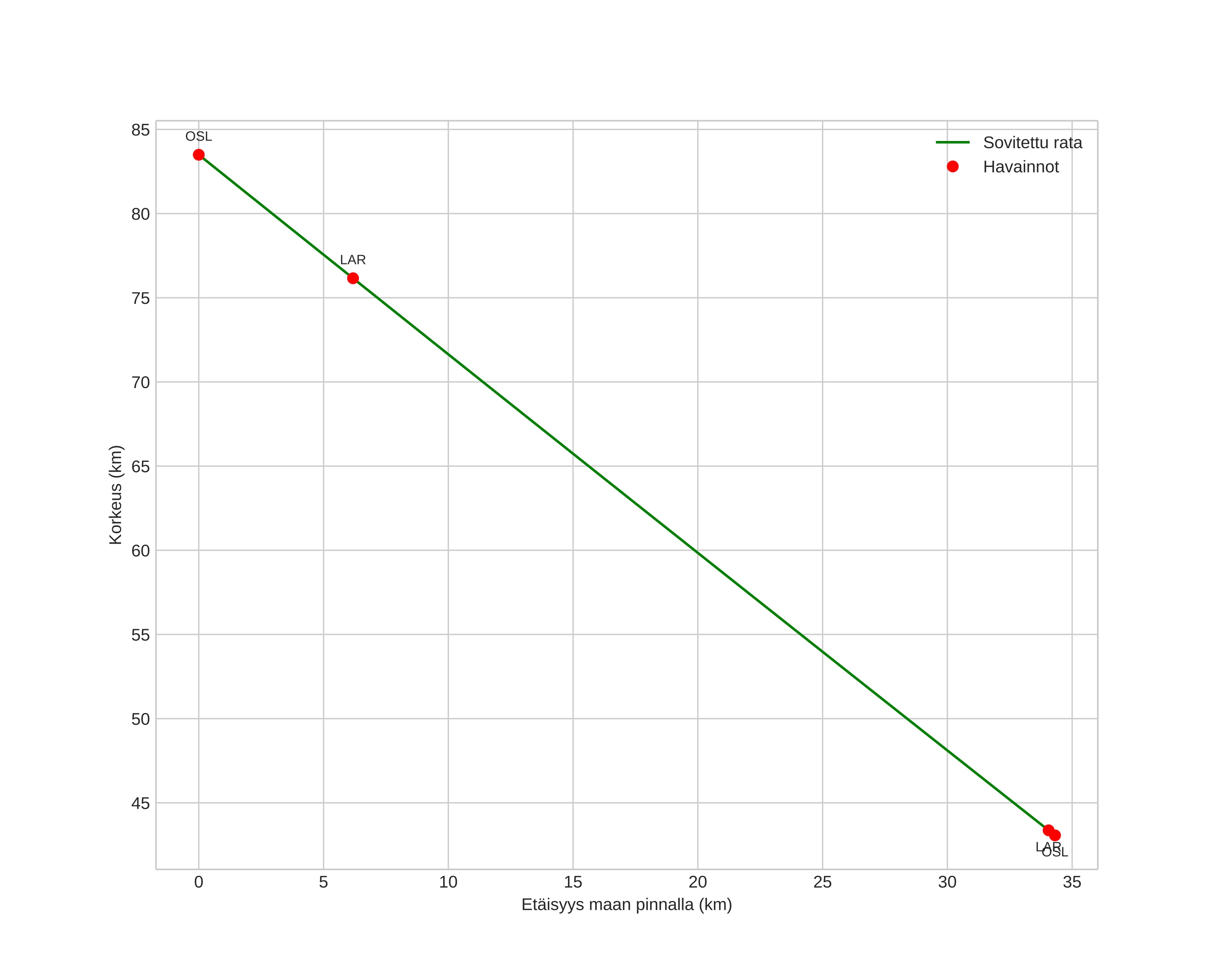
Meteorin ilmakehärata:
Alkukorkeus: 83,6 km
Loppukorkeus: 43,1 km
Alkupiste: 59,062N 7,646E
Loppupiste: 59,236N 8,144E
Suunta: 55,5°
Kallistuskulma: 49,7°
Tulonopeus: 18,2 km/s
Radiantin R,A,: 06:18 (94,6°)
Radiantin Dekl,: 23,2°
Meteoriparvi: Sporadinen
Meteoroidin rataelementit:
Perihelietäisyys: 0,862 AU
Eksentrisyys: 0,742
Inklinaatio: 0,1°
Nousevan solmun pituus: 124,3°
Perihelin argumentti: 42,7°
Keskianomalia: 355,1°
Epookki: 2024 JAN 23 00:22:53
orbit plot

Ei-interaktiivinen kuvaaja | Interaktiivinen kuvaaja

position vs time
speed and acceleration