🇳🇴 🇬🇧 🇩🇪 🇨🇿 🇫🇮

Meteor, poloha: Hansnes 2024-01-24 16:30:34 UTC

Soubor KML  |  InteraktivnĂ­ mapa

Mapa zobrazuje dráhy meteoru. Světlejší čáry ukazují směry od pozorovacích stanic při objevení se meteoru a tmavší čáry, kde byl naposledy viděn. Modrá šipka značí viditelnou dráhu meteoru.

static map
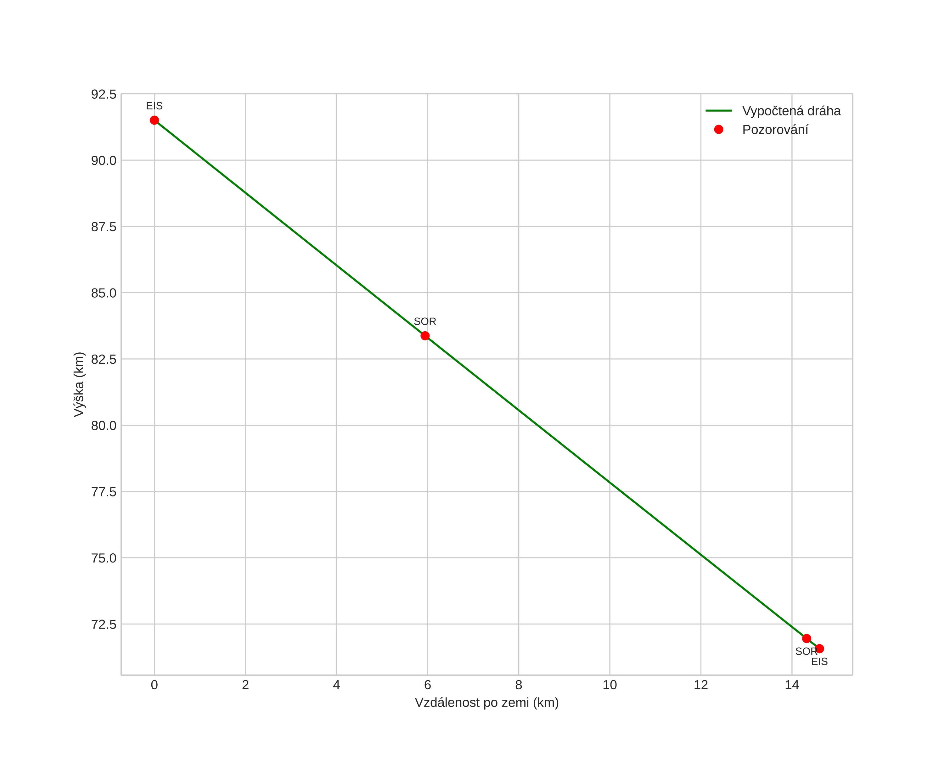
height profile
Atmosférická dráha meteoru:
Počáteční výška: 89,4 km
Konečná výška: 71,9 km
Počáteční poloha: 69,848N 19,282E
Konečná poloha: 69,732N 19,336E
Směr: 170,8°
Sklon: 53,3°
VstupnĂ­ rychlost: 27,1 km/s
Rektascenze radiantu: 15:17 (229,4°)
Deklinace radiantu: 71,2°
MeteorickĂ˝ roj: sporadickĂ˝
Elementy dráhy meteoroidu:
Vzdálenost v periheliu: 0,951 AU
Excentricita: 0,557
Sklon dráhy: 40,4°
Délka vzestupného uzlu: 303,8°
Argument perihelia: 205,3°
Střední anomálie: 353,9°
Epocha: 2024 JAN 24 16:30:34
orbit plot

NeinteraktivnĂ­ graf | InteraktivnĂ­ graf

position vs time
speed and acceleration