🇳🇴 🇬🇧 🇩🇪 🇨🇿 🇫🇮

Meteor Hansnesin yllä 2024-01-24 16:30:34 UTC

KML-tiedosto  |  Interaktiivinen kartta

Kartta näyttää meteorin suuntahavainnot. Vaaleammat viivat näyttävät suunnat havaintoasemilta meteorin ilmestyessä, ja tummemmat viivat näyttävät, missä se viimeksi nähtiin. Sininen nuoli näyttää meteorin näkyvän lennon.

static map
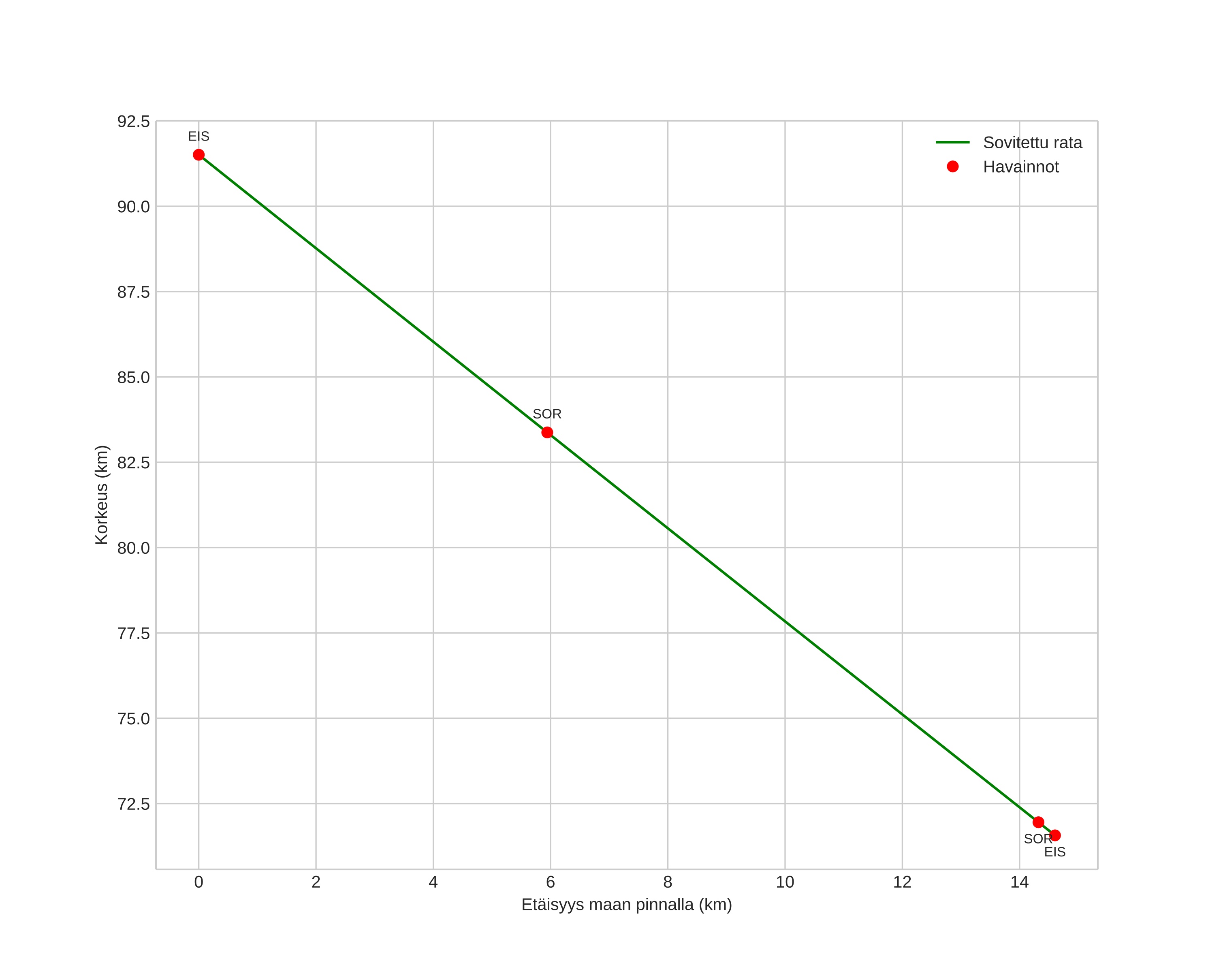
height profile
Meteorin ilmakehärata:
Alkukorkeus: 89,4 km
Loppukorkeus: 71,9 km
Alkupiste: 69,848N 19,282E
Loppupiste: 69,732N 19,336E
Suunta: 170,8°
Kallistuskulma: 53,3°
Tulonopeus: 27,1 km/s
Radiantin R,A,: 15:17 (229,4°)
Radiantin Dekl,: 71,2°
Meteoriparvi: Sporadinen
Meteoroidin rataelementit:
Perihelietäisyys: 0,951 AU
Eksentrisyys: 0,557
Inklinaatio: 40,4°
Nousevan solmun pituus: 303,8°
Perihelin argumentti: 205,3°
Keskianomalia: 353,9°
Epookki: 2024 JAN 24 16:30:34
orbit plot

Ei-interaktiivinen kuvaaja | Interaktiivinen kuvaaja

position vs time
speed and acceleration