🇳🇴 🇬🇧 🇩🇪 🇨🇿 🇫🇮

Meteor, poloha: Storslett 2024-01-24 19:10:59 UTC

Soubor KML  |  InteraktivnĂ­ mapa

Mapa zobrazuje dráhy meteoru. Světlejší čáry ukazují směry od pozorovacích stanic při objevení se meteoru a tmavší čáry, kde byl naposledy viděn. Modrá šipka značí viditelnou dráhu meteoru.

static map
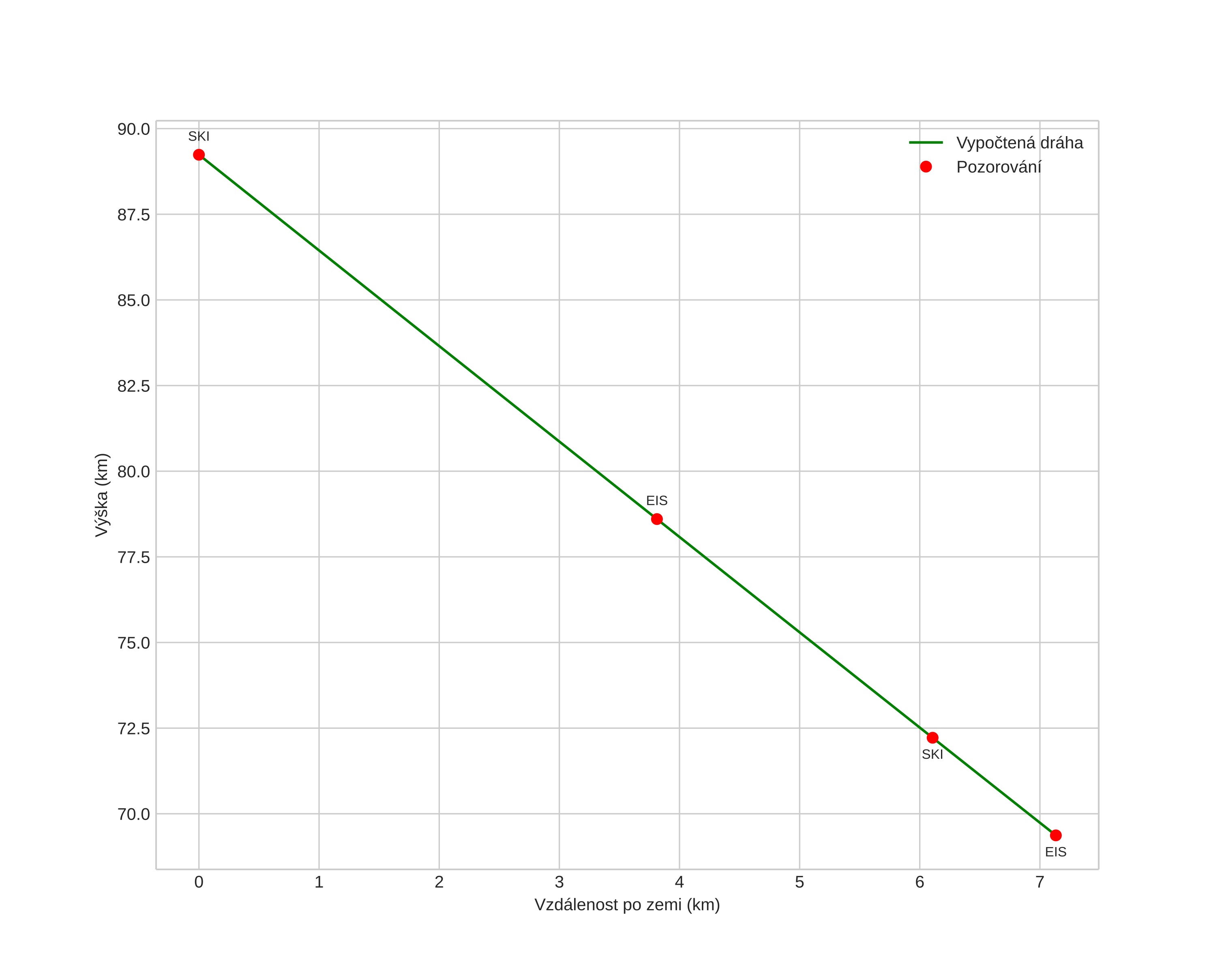
height profile
Atmosférická dráha meteoru:
Počáteční výška: 88,4 km
Konečná výška: 63,7 km
Počáteční poloha: 69,275N 21,427E
Konečná poloha: 69,357N 21,415E
Směr: 356,9°
Sklon: 69,6°
VstupnĂ­ rychlost: 17,4 km/s
Rektascenze radiantu: 04:52 (73,1°)
Deklinace radiantu: 46,0°
MeteorickĂ˝ roj: sporadickĂ˝
Elementy dráhy meteoroidu:
Vzdálenost v periheliu: 0,939 AU
Excentricita: 0,818
Sklon dráhy: 7,7°
Délka vzestupného uzlu: 303,9°
Argument perihelia: 206,3°
Střední anomálie: 358,4°
Epocha: 2024 JAN 24 19:10:59
orbit plot

NeinteraktivnĂ­ graf | InteraktivnĂ­ graf

position vs time
speed and acceleration