🇳🇴 🇬🇧 🇩🇪 🇨🇿 🇫🇮

Meteor Storslettin yllä 2024-01-24 19:10:59 UTC

KML-tiedosto  |  Interaktiivinen kartta

Kartta näyttää meteorin suuntahavainnot. Vaaleammat viivat näyttävät suunnat havaintoasemilta meteorin ilmestyessä, ja tummemmat viivat näyttävät, missä se viimeksi nähtiin. Sininen nuoli näyttää meteorin näkyvän lennon.

static map
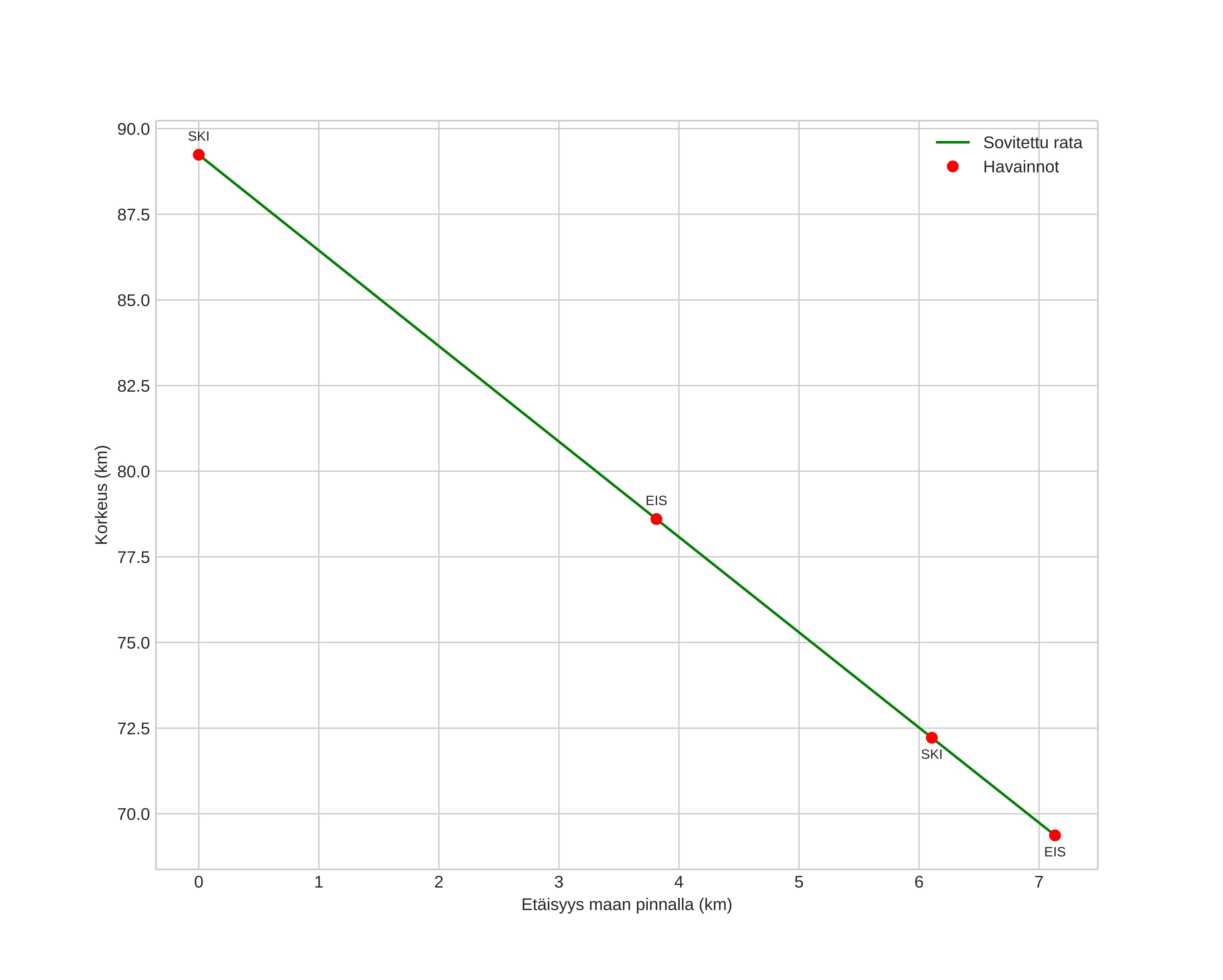
height profile
Meteorin ilmakehärata:
Alkukorkeus: 88,4 km
Loppukorkeus: 63,7 km
Alkupiste: 69,275N 21,427E
Loppupiste: 69,357N 21,415E
Suunta: 356,9°
Kallistuskulma: 69,6°
Tulonopeus: 17,4 km/s
Radiantin R,A,: 04:52 (73,1°)
Radiantin Dekl,: 46,0°
Meteoriparvi: Sporadinen
Meteoroidin rataelementit:
Perihelietäisyys: 0,939 AU
Eksentrisyys: 0,818
Inklinaatio: 7,7°
Nousevan solmun pituus: 303,9°
Perihelin argumentti: 206,3°
Keskianomalia: 358,4°
Epookki: 2024 JAN 24 19:10:59
orbit plot

Ei-interaktiivinen kuvaaja | Interaktiivinen kuvaaja

position vs time
speed and acceleration