🇳🇴 🇬🇧 🇩🇪 🇨🇿 🇫🇮

Meteor, poloha: Setermoen 2024-01-25 01:41:51 UTC

Soubor KML  |  InteraktivnĂ­ mapa

Mapa zobrazuje dráhy meteoru. Světlejší čáry ukazují směry od pozorovacích stanic při objevení se meteoru a tmavší čáry, kde byl naposledy viděn. Modrá šipka značí viditelnou dráhu meteoru.

static map
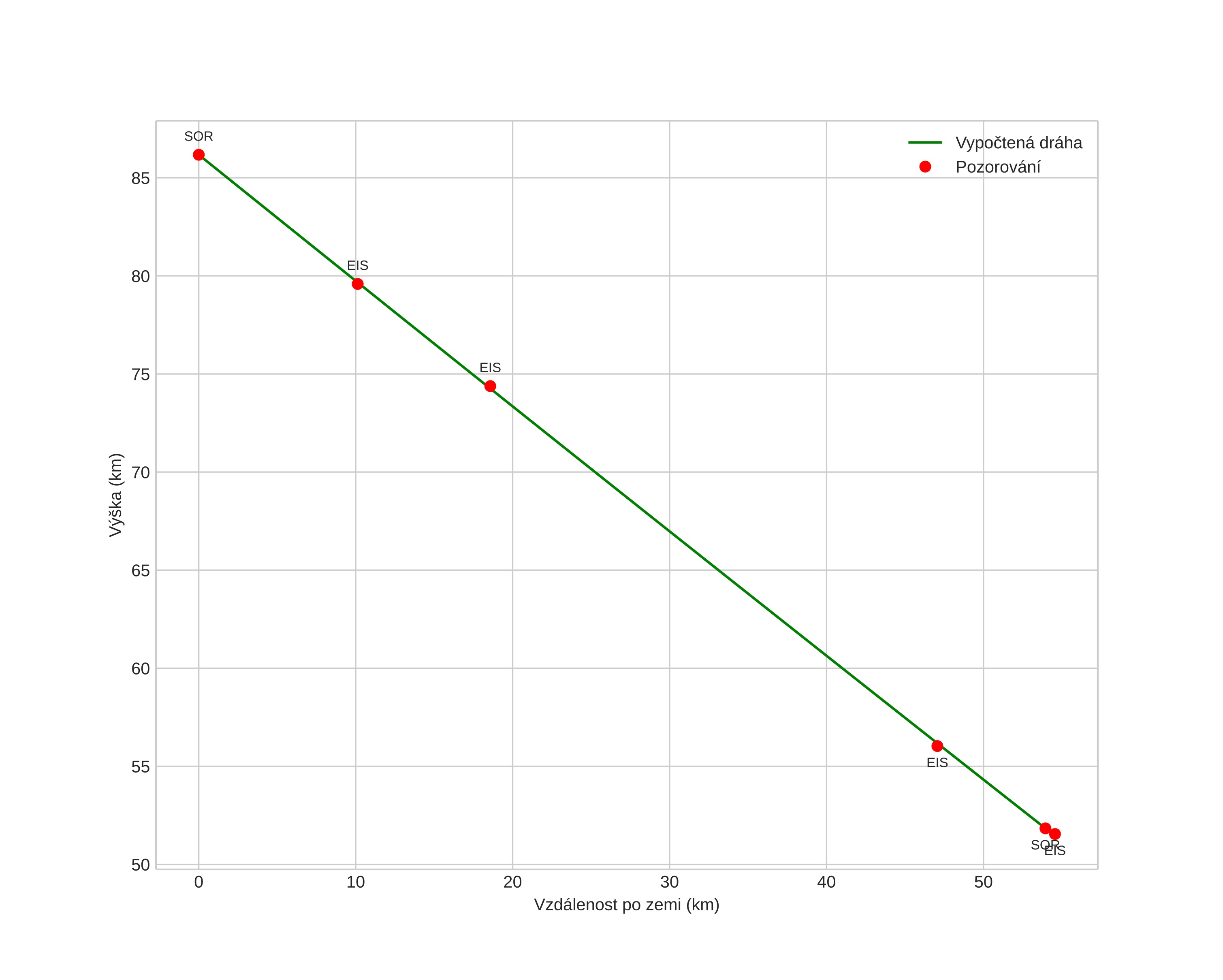
height profile
Atmosférická dráha meteoru:
Počáteční výška: 86,2 km
Konečná výška: 51,9 km
Počáteční poloha: 68,360N 17,388E
Konečná poloha: 68,679N 18,376E
Směr: 48,2°
Sklon: 32,6°
VstupnĂ­ rychlost: 19,7 km/s
Rektascenze radiantu: 08:12 (123,2°)
Deklinace radiantu: 11,4°
MeteorickĂ˝ roj: sporadickĂ˝
Elementy dráhy meteoroidu:
Vzdálenost v periheliu: 0,665 AU
Excentricita: 0,551
Sklon dráhy: 4,5°
Délka vzestupného uzlu: 124,3°
Argument perihelia: 85,0°
Střední anomálie: 332,5°
Epocha: 2024 JAN 25 01:41:51
orbit plot

NeinteraktivnĂ­ graf | InteraktivnĂ­ graf

position vs time
speed and acceleration