🇳🇴 🇬🇧 🇩🇪 🇨🇿 🇫🇮

Meteor Setermoenin yllä 2024-01-25 01:41:51 UTC

KML-tiedosto  |  Interaktiivinen kartta

Kartta näyttää meteorin suuntahavainnot. Vaaleammat viivat näyttävät suunnat havaintoasemilta meteorin ilmestyessä, ja tummemmat viivat näyttävät, missä se viimeksi nähtiin. Sininen nuoli näyttää meteorin näkyvän lennon.

static map
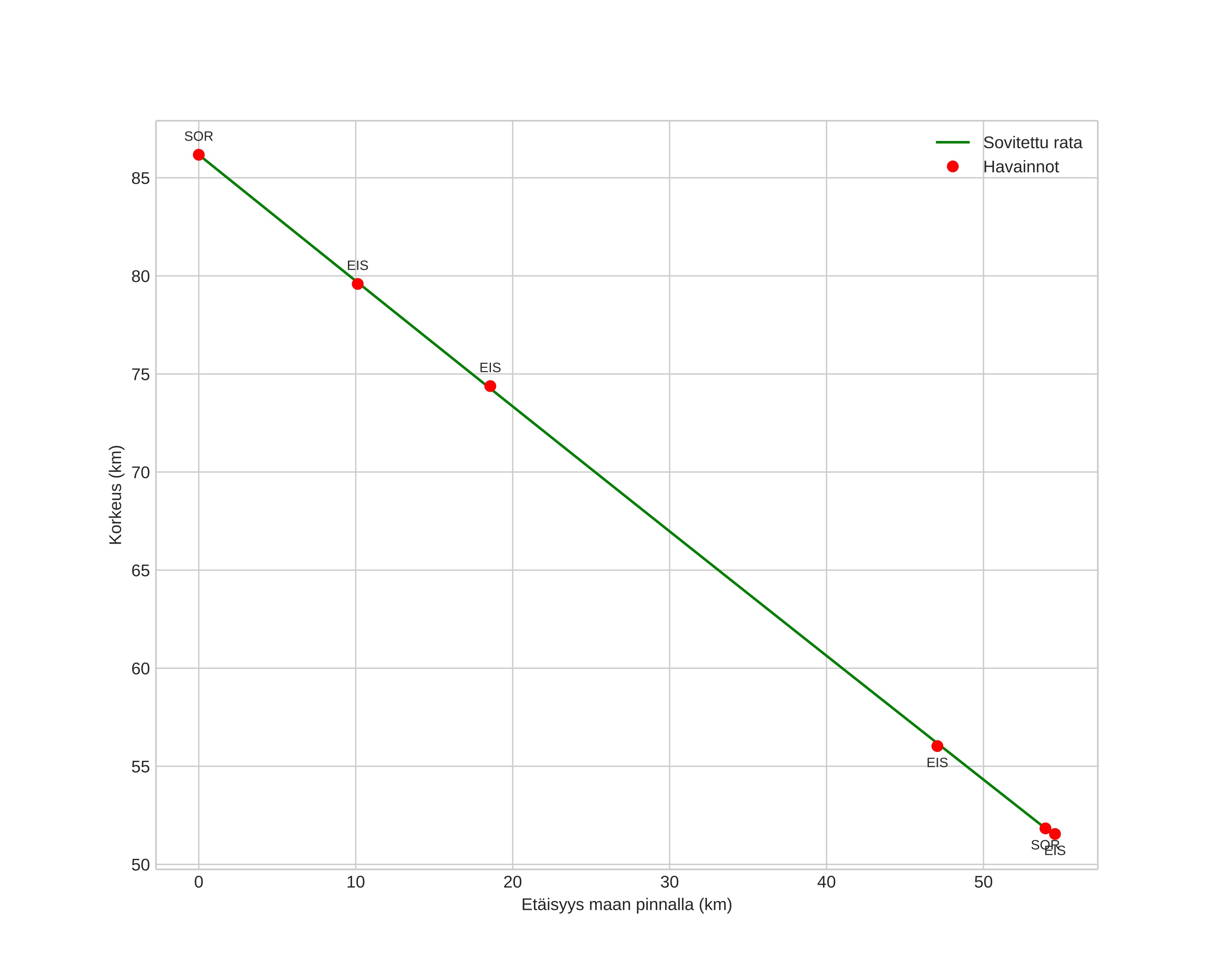
height profile
Meteorin ilmakehärata:
Alkukorkeus: 86,2 km
Loppukorkeus: 51,9 km
Alkupiste: 68,360N 17,388E
Loppupiste: 68,679N 18,376E
Suunta: 48,2°
Kallistuskulma: 32,6°
Tulonopeus: 19,7 km/s
Radiantin R,A,: 08:12 (123,2°)
Radiantin Dekl,: 11,4°
Meteoriparvi: Sporadinen
Meteoroidin rataelementit:
Perihelietäisyys: 0,665 AU
Eksentrisyys: 0,551
Inklinaatio: 4,5°
Nousevan solmun pituus: 124,3°
Perihelin argumentti: 85,0°
Keskianomalia: 332,5°
Epookki: 2024 JAN 25 01:41:51
orbit plot

Ei-interaktiivinen kuvaaja | Interaktiivinen kuvaaja

position vs time
speed and acceleration