🇳🇴 🇬🇧 🇩🇪 🇨🇿 🇫🇮

Meteor, poloha: Hatteng 2024-01-26 05:06:25 UTC

Skibotn – 3
Skibotn – 3
Sørreisa – 1
Sørreisa – 1
Sørreisa – 2
Sørreisa – 2

Soubor KML  | Interaktivní mapa

map

Mapa zobrazuje dráhy meteoru. Světlejší čáry ukazují směry od pozorovacích stanic při objevení se meteoru a tmavší čáry, kde byl naposledy viděn. Modrá šipka značí viditelnou dráhu meteoru.

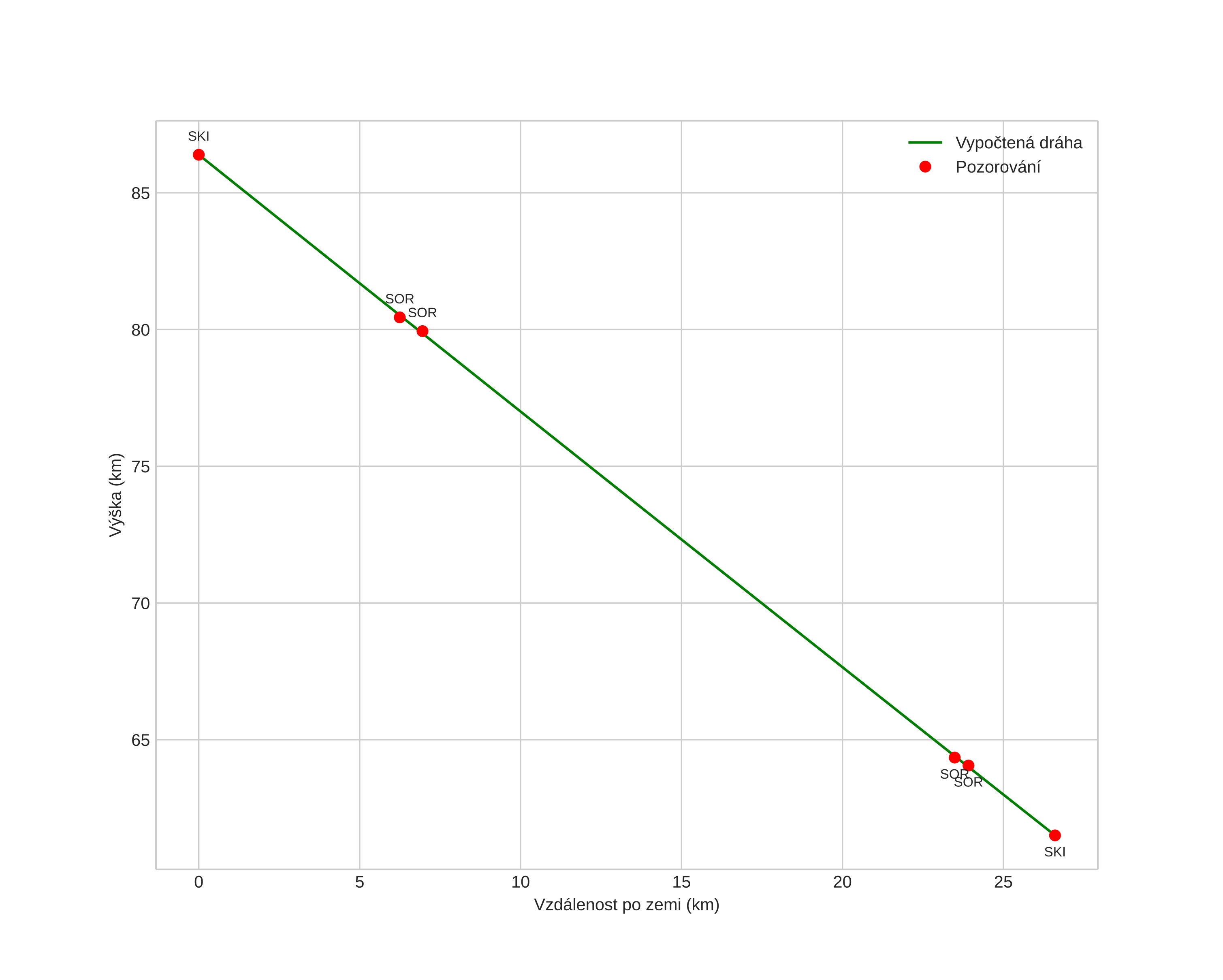
height profile
Atmosférická dráha meteoru:
Počáteční výška: 86,1 km
Konečná výška: 61,7 km
Počáteční poloha: 68,895N 20,368E
Konečná poloha: 68,669N 20,612E
Směr: 158,4°
Sklon: 42,2°
Vstupní rychlost: 16,8 km/s
Rektascenze radiantu: 04:52 (73,2°)
Deklinace radiantu: 53,7°
Meteorický roj: sporadický
Elementy dráhy meteoroidu:
Vzdálenost v periheliu: 0,945 AU
Excentricita: 0,731
Sklon dráhy: 9,7°
Délka vzestupného uzlu: 305,4°
Argument perihelia: 205,1°
Střední anomálie: 357,3°
Epocha: 2024 JAN 26 05:06:25
orbit

Neinteraktivní graf | Interaktivní graf

position vs time
speed & acceleration