🇳🇴 🇬🇧 🇩🇪 🇨🇿 🇫🇮

Meteor ĂĽber Hatteng 2024-01-26 05:06:25 UTC

Skibotn – 3
Skibotn – 3
Sørreisa – 1
Sørreisa – 1
Sørreisa – 2
Sørreisa – 2

KML-Datei  | Interaktive Karte

map

Die Karte zeigt die Peilungen fĂĽr den Meteor. Die helleren Linien zeigen die Richtungen von den Beobachtungsorten beim Erscheinen des Meteors, und die dunkleren Linien, wo er zuletzt gesehen wurde. Der blaue Pfeil zeigt die sichtbare Bahn des Meteors.

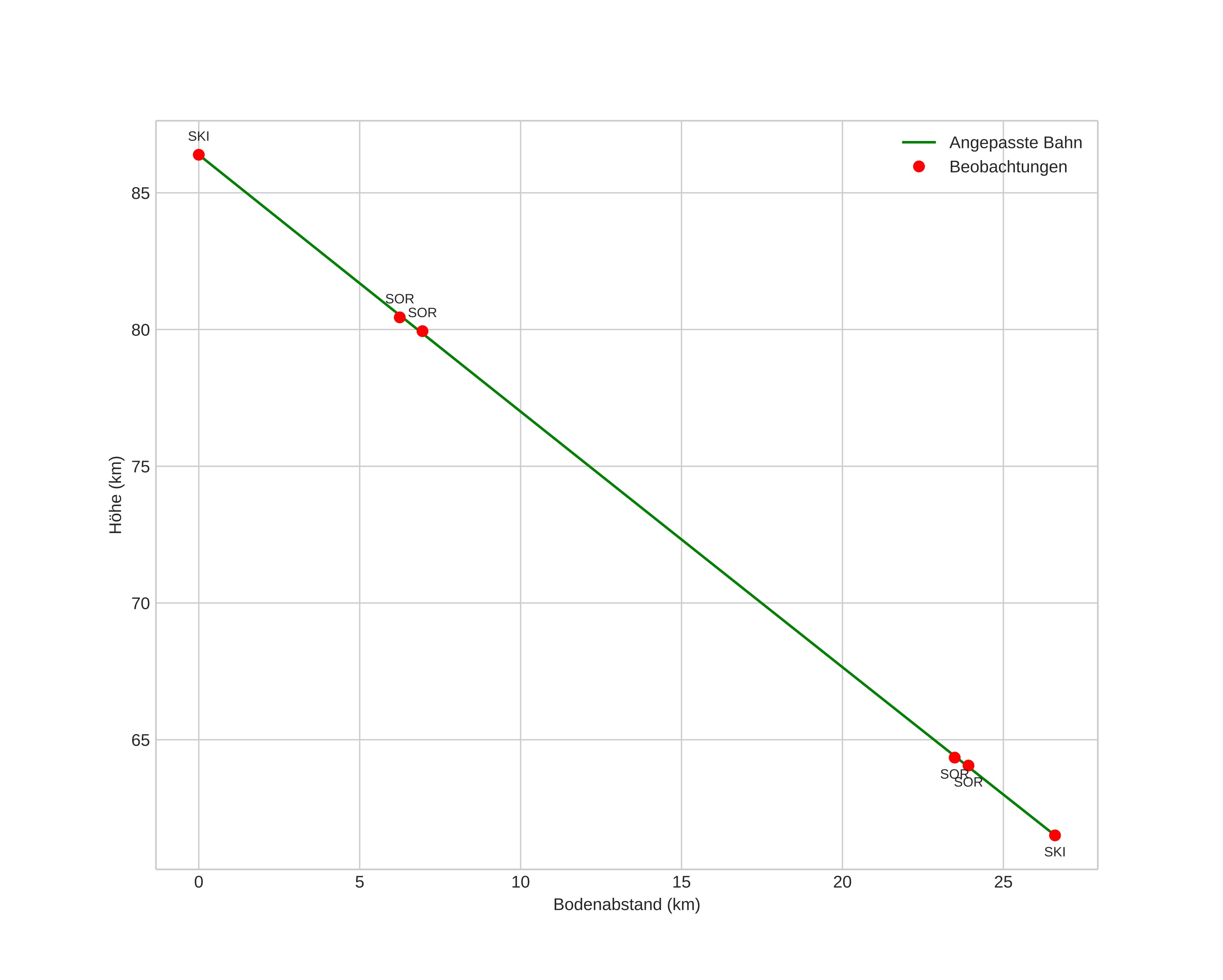
height profile
Atmosphärische Bahn des Meteors:
Anfangshöhe: 86,1 km
Endhöhe: 61,7 km
Startposition: 68,895N 20,368E
Endposition: 68,669N 20,612E
Richtung: 158,4°
Neigungswinkel: 42,2°
Eintrittsgeschwindigkeit: 16,8 km/s
Rektaszension des Radianten: 04:52 (73,2°)
Deklination des Radianten: 53,7°
Meteorstrom: sporadisch
Bahnelemente des Meteoroiden:
Periheldistanz: 0,945 AU
Exzentrizität: 0,731
Inklination: 9,7°
Länge des aufsteigenden Knotens: 305,4°
Argument des Perihels: 205,1°
Mittlere Anomalie: 357,3°
Epoche: 2024 JAN 26 05:06:25
orbit

Nicht-interaktives Diagramm | Interaktives Diagramm

position vs time
speed & acceleration